【药物名称】Pioglitazone hydrochloride, AA-10090, U-72107(free base), U-72107A, U-72107E(as AcOH solvate), AD-4833(free base), Glustin, Zactos, Actos
化学结构式(Chemical Structure):
参考文献No.5015
标题:Thiazolidinedione derivs., their production and use
作者:Meguro, K.; Fujita, T. (Takeda Chemical Industries, Ltd.)
来源:EP 0193256; ES 8705886; JP 1986267580; US 4687777
合成路线图解说明:

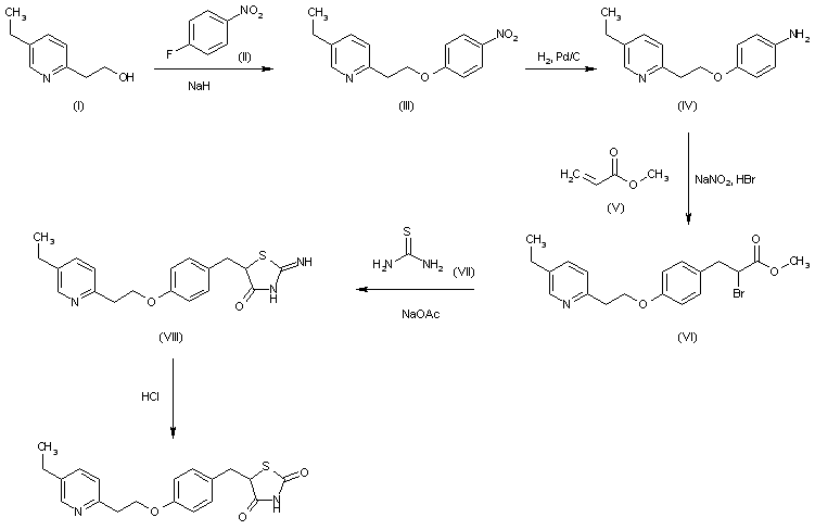
The condensation of 2-(5-ethyl-2-pyridyl)ethanol (I) with 4-fluoronitrobenzene (II) by means of NaH in DMF gives 4-[2-(5-ethyl-2-pyridyl)ethoxy]nitrobenzene (III), which is reduced with H2 over Pd/C in methanol to yield the corresponding aniline (IV). The reaction of (IV) with NaNO2/HBr and methyl acrylate (V) in acetone/methanol affords the 2-bromopropionate derivative (VI), which is cyclized with thiourea (VII) by means of NaOAc in refluxing ethanol to provide the 2-imino-4-thiazolidinone (VIII). Finally, this compound is hydrolyzed with refluxing 2N HCl.

参考文献No.57776
标题:Method for producing ethers
作者:Mizuno, Y.; Arita, M. (Takeda Chemical Industries, Ltd.)
来源:EP 0506273
合成路线图解说明:

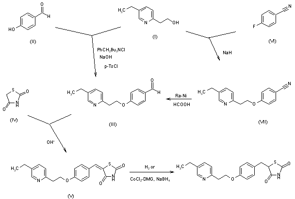
This compound has been obtained by several different methods. The reaction of 2-(5-ethyl-2-pyridyl)ethanol (I) with Ts-Cl and NaOH in THF gives the corresponding tosylate (II), which is condensed with 4-hydroxybenzaldehyde (IV) by means of BnNBu3Cl and NaOH or K2CO3 to yield the aryl ether (V) (1-3). The condensation of (V) with thiazolidine-2,4-dione (VI) in refluxing ethanol affords the 5-benzylidenethiazolidinedione (VII), which is finally reduced with H2 over Pd/C in DMF or dioxane. The reaction of 2-(5-ethyl-2-pyridyl)ethanol (I) with Ms-Cl and TEA in dichloromethane THF gives the corresponding mesylate (III), which is condensed with 4-hydroxybenzaldehyde (IV) by means of K2CO3 to yield the already reported aryl ether (V). The condensation of 2-(5-ethyl-2-pyridyl)ethanol (I) with 4-fluorobenzonitrile (VIII) by means of NaH gives 4-[2-(5-ethyl-2-pyridyl)ethoxy]benzonitrile (IX), which is reduced with RaNi and HCOOH to yield the already reported 4-ethoxybenzaldehyde derivative (V).

参考文献No.57777
标题:Process for preparing 4-(2-(2-pyridyl)ethoxy)benzaldehyde derivs.
作者:Saito, Y.; Yamashita, M.; Mizufune, H. (Takeda Chemical Industries, Ltd.)
来源:EP 0816340
合成路线图解说明:

This compound has been obtained by several different methods. The reaction of 2-(5-ethyl-2-pyridyl)ethanol (I) with Ts-Cl and NaOH in THF gives the corresponding tosylate (II), which is condensed with 4-hydroxybenzaldehyde (IV) by means of BnNBu3Cl and NaOH or K2CO3 to yield the aryl ether (V) (1-3). The condensation of (V) with thiazolidine-2,4-dione (VI) in refluxing ethanol affords the 5-benzylidenethiazolidinedione (VII), which is finally reduced with H2 over Pd/C in DMF or dioxane. The reaction of 2-(5-ethyl-2-pyridyl)ethanol (I) with Ms-Cl and TEA in dichloromethane THF gives the corresponding mesylate (III), which is condensed with 4-hydroxybenzaldehyde (IV) by means of K2CO3 to yield the already reported aryl ether (V). The condensation of 2-(5-ethyl-2-pyridyl)ethanol (I) with 4-fluorobenzonitrile (VIII) by means of NaH gives 4-[2-(5-ethyl-2-pyridyl)ethoxy]benzonitrile (IX), which is reduced with RaNi and HCOOH to yield the already reported 4-ethoxybenzaldehyde derivative (V).

参考文献No.122502
标题:Studies on antidiabetic agents. Synthesis and hypoglycemic activity of 5-[4-(pyridylalkoxy)benzyl]-2,4-thiazolidinediones
作者:Sohda, T.; Momose, Y.; Meguro, K.; Kawamatsu, Y.; Sugiyama, Y.; Ikeda, H.
来源:Arzneim-Forsch Drug Res 1990,40(1),37
合成路线图解说明:

The condensation of 2-(5-ethyl-2-pyridyl)ethanol (I) with 4-fluoronitrobenzene (II) by means of NaH in DMF gives 4-[2-(5-ethyl-2-pyridyl)ethoxy]nitrobenzene (III), which is reduced with H2 over Pd/C in methanol to yield the corresponding aniline (IV). The reaction of (IV) with NaNO2/HBr and methyl acrylate (V) in acetone/methanol affords the 2-bromopropionate derivative (VI), which is cyclized with thiourea (VII) by means of NaOAc in refluxing ethanol to provide the 2-imino-4-thiazolidinone (VIII). Finally, this compound is hydrolyzed with refluxing 2N HCl.

参考文献No.123626
标题:PIOGLITAZONE HYDROCHLORIDE < Prop INNM; USAN >
作者:Prous, J.; Casta馿r, J.
来源:Drugs Fut 1990,15(11),1080
合成路线图解说明:

The condensation of 2-(5-ethyl-2-pyridyl)ethanol (I) with 4-fluoronitrobenzene (II) by means of NaH in DMF gives 4-[2-(5-ethyl-2-pyridyl)ethoxy]nitrobenzene (III), which is reduced with H2 over Pd/C in methanol to yield the corresponding aniline (IV). The reaction of (IV) with NaNO2/HBr and methyl acrylate (V) in acetone/methanol affords the 2-bromopropionate derivative (VI), which is cyclized with thiourea (VII) by means of NaOAc in refluxing ethanol to provide the 2-imino-4-thiazolidinone (VIII). Finally, this compound is hydrolyzed with refluxing 2N HCl.

参考文献No.139998
标题:Studies on antidiabetic agents: Synthesis and biological activities of pioglitazone and related compounds
作者:Momose, Y.; Sohda, T.; Meguro, K.; Hatanaka, C.; Ikeda, H.; Oi, S.
来源:11th Symp Med Chem (Dec 4-5, Tokushima) 1990,Abst P-11
合成路线图解说明:

Two new related syntheses of pioglitazone hydrochloride have been described: 1) The condensation of 2-(5-ethylpyridin-2-yl)ethanol (I) with 4-hydroxybenzaldehyde (II) by means of benzyltributylammonium chloride, NaOH and tosyl chloride gives 4-[2-(5-ethylpyridin-2-yl)ethoxy]benzaldehyde (III), which is condensed with thiazolidine-2,4-dione (IV) in basic medium to afford 5-[-4-[2-(5-ethylpyridin-2-yl)ethoxy]benzylidene]thiazolidine-2,4-dione (V). Finally, this compound is hydrogenated in the usual way. 2) The condensation of alcohol (I) with 4-fluorobenzonitrile (VI) by means of NaH gives 4-[2-(5-ethylpyridin-2-yl)ethoxy]benzonitrile (VII), which is reduced with Raney Nickel and formic acid to the aldehyde (III), already obtained.

合成路线图解说明:

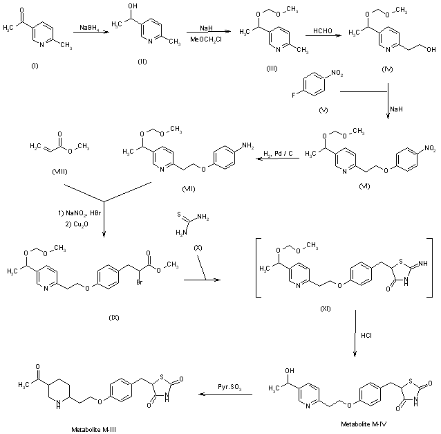
The synthesis of metabolites M-III, M-IV and M-V of pioglitazone has been reported: a) Synthesis of metabolite M-IV: The reduction of 5-acetyl-2-methylpyridine (I) with NaBH4 in cooled ethanol gives the corresponding 1-hydroxyethyl derivative (II), which is protected with chloromethyl methyl ether and NaH in DMF yielding the methoxymethyl ether (III). The hydroxymethylation of (III) with aqueous formaldehyde at 150-60 C affords the ethanol (IV), which is condensed with 4-fluoronitrobenzene (V) by means of NaH in cooled DMF giving 5-[1-(methoxymethoxy)ethyl]-2-[2-(4-nitrophenoxy)ethyl]pyridine (VI). The reduction of the nitro group of (VI) with H2 over Pd/C in ethyl acetate yields the corresponding amino compound (VII), which is diazotized with NaNO2 in aqueous HBr and condensed with methyl acrylate (VIII) by means of Cu2O to afford the 2-bromopropionate derivative (IX). The cyclization of (IX) with thiourea (X) by means of sodium acetate in refluxing ethanol gives the intermediate iminothiazolidinone (XI), which without isolation, is treated with refluxing 2N HCl to give metabolite M-IV. b) Synthesis of metabolite M-III: By oxidation of metabolite M-IV with the pyridine.sulfur trioxide complex in ethanol/dichloromethane/triethylamine

合成路线图解说明:

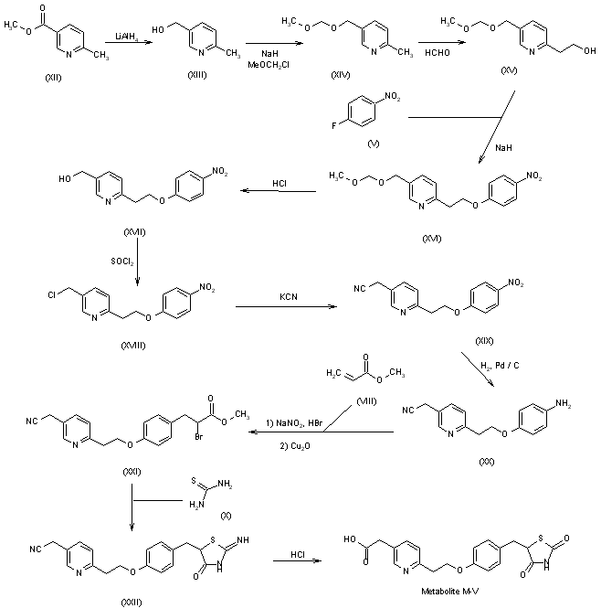
c) Synthesis of metabolite M-V: The reduction of 6-methylpyridine-3-carboxylic acid methyl ester (XII) with LiAlH4 in THF gives the corresponding hydroxymethyl derivative (XIII), which is protected with chloromethyl methyl ether as before yielding the methoxymethoxymethyl compound (XIV). Hydroxymethylation of (XIV) with formaldehyde as described affords the ethanol derivative (XV), which is condensed with 4-fluoronitrobenzene (V) as before giving 5-(hydroxymethyl)-2-[2-(4-nitrophenoxy)ethyl]pyridine (XVI). The deprotection of (XVI) with HCl in refluxing methanol yields the hydroxymethyl compound (XVII), which is treated with SOCl2 in refluxing chloroform to afford the chloromethyl compound (XVIII). The reaction of (XVIII) with KCN in hot DMF gives the corresponding cyanomethyl derivative (XIX), which by reduction of the NO2 group with H2 over Pd/C in ethyl acetate yields the amino derivative (XX). The diazotation of (XX) with NaNO2 in aqueous HBr followed by condensation with methyl acrylate as before affords the 2-bromopropionate (XXI), which is cyclized with thiourea (X) as reported to give iminothiazolidinone derivative (XXII). Finally, the hydrolysis of the cyano gives Metabolite M-V.

参考文献No.153106
标题:Studies on antidiabetic agents. X. Synthesis and biological activities of pioglitazone and related compounds
作者:Momose, Y.; Meguro, K.; Ikeda, H.; Hatanaka, C.; Oi, S.; Sohda, T.
来源:Chem Pharm Bull 1991,39(6),1440-5
合成路线图解说明:

A new synthesis for pioglitazone has been described: The condensation of 4-[2-(5-ethyl-2-pyridyl)ethoxy]benzaldehyde with thiazolidine-2,4-dione (II) by means of piperidine in refluxing ethanol gives the corresponding benzylidene derivative (III), which is then reduced with H2 over Pd/C under pressure in hot DMF.

合成路线图解说明:

This compound has been obtained by several different methods. The reaction of 2-(5-ethyl-2-pyridyl)ethanol (I) with Ts-Cl and NaOH in THF gives the corresponding tosylate (II), which is condensed with 4-hydroxybenzaldehyde (IV) by means of BnNBu3Cl and NaOH or K2CO3 to yield the aryl ether (V) (1-3). The condensation of (V) with thiazolidine-2,4-dione (VI) in refluxing ethanol affords the 5-benzylidenethiazolidinedione (VII), which is finally reduced with H2 over Pd/C in DMF or dioxane. The reaction of 2-(5-ethyl-2-pyridyl)ethanol (I) with Ms-Cl and TEA in dichloromethane THF gives the corresponding mesylate (III), which is condensed with 4-hydroxybenzaldehyde (IV) by means of K2CO3 to yield the already reported aryl ether (V). The condensation of 2-(5-ethyl-2-pyridyl)ethanol (I) with 4-fluorobenzonitrile (VIII) by means of NaH gives 4-[2-(5-ethyl-2-pyridyl)ethoxy]benzonitrile (IX), which is reduced with RaNi and HCOOH to yield the already reported 4-ethoxybenzaldehyde derivative (V).

合成路线图解说明:

The condensation of 2-(5-ethyl-2-pyridyl)ethanol (I) with 4-fluoronitrobenzene (II) by means of NaH in DMF gives 4-[2-(5-ethyl-2-pyridyl)ethoxy]nitrobenzene (III), which is reduced with H2 over Pd/C in methanol to yield the corresponding aniline (IV). The reaction of (IV) with NaNO2/HBr and methyl acrylate (V) in acetone/methanol affords the 2-bromopropionate derivative (VI), which is cyclized with thiourea (VII) by means of NaOAc in refluxing ethanol to provide the 2-imino-4-thiazolidinone (VIII). Finally, this compound is hydrolyzed with refluxing 2N HCl.

参考文献No.806173
标题:Optimization of the reduction of a 5-benzylidenethiazolidine-2,4-dione derivative supported by the reaction response surface analysis: Synthesis of pioglitazone hydrochloride
作者:Les, A.; Pucko, W.; Szelejewski, W.
来源:Org Process Res Dev 2004,8(2),157
合成路线图解说明:

Two new related syntheses of pioglitazone hydrochloride have been described: 1) The condensation of 2-(5-ethylpyridin-2-yl)ethanol (I) with 4-hydroxybenzaldehyde (II) by means of benzyltributylammonium chloride, NaOH and tosyl chloride gives 4-[2-(5-ethylpyridin-2-yl)ethoxy]benzaldehyde (III), which is condensed with thiazolidine-2,4-dione (IV) in basic medium to afford 5-[-4-[2-(5-ethylpyridin-2-yl)ethoxy]benzylidene]thiazolidine-2,4-dione (V). Finally, this compound is hydrogenated in the usual way. 2) The condensation of alcohol (I) with 4-fluorobenzonitrile (VI) by means of NaH gives 4-[2-(5-ethylpyridin-2-yl)ethoxy]benzonitrile (VII), which is reduced with Raney Nickel and formic acid to the aldehyde (III), already obtained.

Drug Information Express,Drug R&D,Chemical Database,Patent Search.
Copyright © 2006-2026 Drug Future. All rights reserved.Contact Us