【药物名称】Pyrazoloacridine, PZA, NSC-366140, PD-115934
化学结构式(Chemical Structure):
参考文献No.1542
标题:Pyrazolo[3,4,5-kl]acridine cpds., pharmaceutical compsns. the same and processes for their production
作者:Capps, D.B. (Pfizer Inc.)
来源:EP 0138302; ES 8701758; ES 8703468; ES 8703874; ES 8703875; JP 1985069084; JP 1994041127; US 4555572
合成路线图解说明:

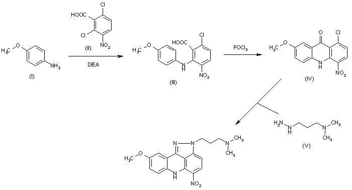
The condensation of 4-methoxyaniline (I) with 2,6-dichloro-3-nitrobenzoic acid (II) by means of DIEA or N,N-dimethylaniline at 75 C gives 6-chloro-2-(4-methoxyphenylamino)-3-nitrobenzoic acid (III), which is cyclized in refluxing POCl3 to yield the acridone (IV). Finally, this compound is condensed with N-[3-(dimethylamino)propyl]hydrazine (V) in THF/methanol to afford the target 2,6-dihydro-pyrazolo[3,4,5-kl]acridine.

参考文献No.207271
标题:2-(Aminoalkyl)-5-nitropyrazolo[3,4,5-kl]acridines, a new class of anticancer agents
作者:Capps, D.B.; Dunbar, J.; Kesten, S.R.; Shillis, J.; Werbel, L.M.; Plowman, J.; Ward, D.L.
来源:J Med Chem 1992,35(26),4770
合成路线图解说明:

The condensation of 4-methoxyaniline (I) with 2,6-dichloro-3-nitrobenzoic acid (II) by means of DIEA or N,N-dimethylaniline at 75 C gives 6-chloro-2-(4-methoxyphenylamino)-3-nitrobenzoic acid (III), which is cyclized in refluxing POCl3 to yield the acridone (IV). Finally, this compound is condensed with N-[3-(dimethylamino)propyl]hydrazine (V) in THF/methanol to afford the target 2,6-dihydro-pyrazolo[3,4,5-kl]acridine.

Drug Information Express,Drug R&D,Chemical Database,Patent Search.
Copyright © 2006-2026 Drug Future. All rights reserved.Contact Us