【药物名称】Lesopitron dihydrochloride, E-4424
化学结构式(Chemical Structure):
参考文献No.24223
标题:Process for the preparation of aryl (or heteroaryl) piperazinylbutylazole derivs
作者:Merce-Vidal, R.; Frigola-Constansa, J.; Pares-Corominas, J. (Laboratorios del Dr. Esteve, SA)
来源:AU 9211429; CA 2062468; EP 0502786; ES 2036145; FR 2673628; JP 1993078313; NO 9200888; US 5227486; ZA 9201682
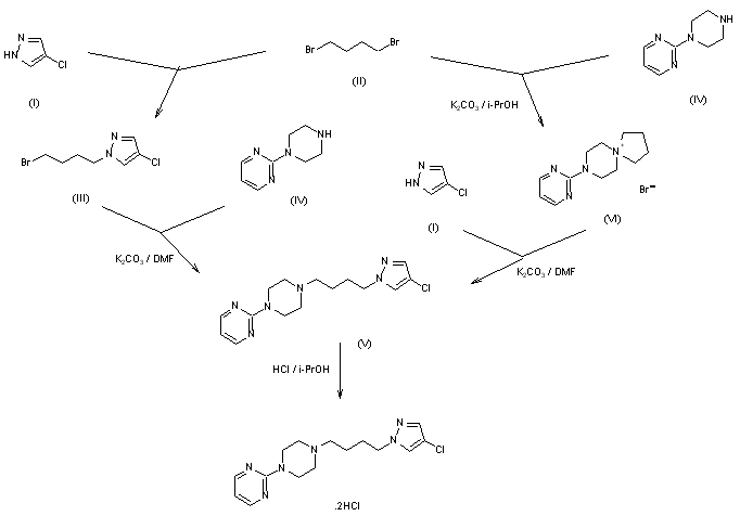
合成路线图解说明:

Lesopitron dihydrochloride was obtained following two related procedures. 1) Reaction of 4-chloropyrazole (I) with 1,4-dibromobutane (II) gives 1-(4-bromobutyl)-4-chloropyrazole (III). Compound (III) is refluxed with 2-(1-piperazinyl)pyrimidine (IV) and potassium carbonate in DMF to give lesopitron (V), which is treated with isopropyl alcohol saturated with hydrochloric acid to pH 4.5-5 . 2) 2-(1-Piperazinyl)pyrimidine (IV) reacts with 1,4-dibromobutane (II) to yield 8-(2-pyrimidinyl)-8-aza-5-azoniaspiro[4.5]decane bromide (VI). The quaternary salt (VI) undergoes reaction with 4-chloropyrazole (I) in DMF in the presence of potassium carbonate to afford the free base.

参考文献No.254340
标题:Lesopitron Dihydrochloride
作者:Frigola, J.; Farr? A.
来源:Drugs Fut 1994,19(7),651
合成路线图解说明:

Lesopitron dihydrochloride was obtained following two related procedures. 1) Reaction of 4-chloropyrazole (I) with 1,4-dibromobutane (II) gives 1-(4-bromobutyl)-4-chloropyrazole (III). Compound (III) is refluxed with 2-(1-piperazinyl)pyrimidine (IV) and potassium carbonate in DMF to give lesopitron (V), which is treated with isopropyl alcohol saturated with hydrochloric acid to pH 4.5-5 . 2) 2-(1-Piperazinyl)pyrimidine (IV) reacts with 1,4-dibromobutane (II) to yield 8-(2-pyrimidinyl)-8-aza-5-azoniaspiro[4.5]decane bromide (VI). The quaternary salt (VI) undergoes reaction with 4-chloropyrazole (I) in DMF in the presence of potassium carbonate to afford the free base.

Drug Information Express,Drug R&D,Chemical Database,Patent Search.
Copyright © 2006-2026 Drug Future. All rights reserved.Contact Us