【药物名称】Ramosetron hydrochloride, YM-060, Nasea OD, Nasea
化学结构式(Chemical Structure):
参考文献No.12921
标题:Tetrahydrobenzimidazole derivs
作者:Ohta, M.; Koide, T.; Suzuki, T.; Matsuhisa, A.; Miyata, K.; Ohmori, J.-Y.; Yanagisawa, I. (Yamanouchi Pharmaceutical Co., Ltd.)
来源:AU 9048890; EP 0381422; JP 1991223278; US 5344927
合成路线图解说明:

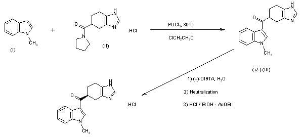
The Vilsmeier-type reaction of 1-methylindole (I) with 5-(1-pyrrolidinocarbonyl)-4,5,6,7-1H-tetrahydrobenzimidazole hydrochloride (II) and phosphorous oxychloride in 1,2-dichloroethane gives (?-5-[(1-methyl-3-indolyl)carbonyl]-4,5,6,7-tetrahydro-1H-benzimidazol e (III). Optical resolution of (III) with (+)-dibenzoyltartaric acid (DIBTA) in DMF-H2O, followed by exchange of the salt affords YM060.

参考文献No.128438
标题:Synthesis and 5-HT3 antagonistic activities of 4,5,6,7-tetrahydrobenzimidazole derivatives
作者:Ohmori, J.; Yanagisawa, I.; Matsuhisa, A.; Suzuki, T.; Furuya, T.; Ohta, M.; Miyata, K.; Koide, T.
来源:200th ACS Natl Meet (Aug 26-31, Washington DC) 1990,Abst MEDI 39.
合成路线图解说明:

The Vilsmeier-type reaction of 1-methylindole (I) with 5-(1-pyrrolidinocarbonyl)-4,5,6,7-1H-tetrahydrobenzimidazole hydrochloride (II) and phosphorous oxychloride in 1,2-dichloroethane gives (?-5-[(1-methyl-3-indolyl)carbonyl]-4,5,6,7-tetrahydro-1H-benzimidazol e (III). Optical resolution of (III) with (+)-dibenzoyltartaric acid (DIBTA) in DMF-H2O, followed by exchange of the salt affords YM060.

参考文献No.161261
标题:YM060
作者:Miyata, K.; Ohta, M.
来源:Drugs Fut 1992,17(1),28
合成路线图解说明:

The Vilsmeier-type reaction of 1-methylindole (I) with 5-(1-pyrrolidinocarbonyl)-4,5,6,7-1H-tetrahydrobenzimidazole hydrochloride (II) and phosphorous oxychloride in 1,2-dichloroethane gives (?-5-[(1-methyl-3-indolyl)carbonyl]-4,5,6,7-tetrahydro-1H-benzimidazol e (III). Optical resolution of (III) with (+)-dibenzoyltartaric acid (DIBTA) in DMF-H2O, followed by exchange of the salt affords YM060.

Drug Information Express,Drug R&D,Chemical Database,Patent Search.
Copyright © 2006-2026 Drug Future. All rights reserved.Contact Us