【药物名称】AS-1404, DMXAA, 5,6-MeXAA, NSC-640488
化学结构式(Chemical Structure):
参考文献No.15285
标题:Cpds. having antitumour and antibacterial properties
作者:Denny, W.A.; Baguley, B.C.; Atwell, G.J.; Rewcastle, G.W. (Cancer Research UK; Pfizer Inc.)
来源:EP 0278176; US 5281620
合成路线图解说明:

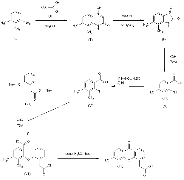
The reaction of 2,3-dimethylaniline (I) with chloral hydrate (II) and hydroxylamine in hot aq. HCl gives the isonitrosoacetanilide (III), which is cyclized by means of hot Ms-OH or H2SO4 to yield 6,7-dimethylisatin (IV). The hydrolysis of (IV) by means of KOH and H2O2 in water affords 2-amino-3,4-dimethylbenzoic acid (V), which is diazotized with NaNO2 and H2SO4 and treated with KI to provide 2-iodo-3,4-dimethylbenzoic acid (VI). The condensation of (VI) with the sodium salt of 2-(2-hydroxyphenyl)acetic acid (VII) by means of tris[2-(2-methoxyethoxy)ethyl]amine (TDA) and CuCl in DMSO gives the precursor (VIII), which is finally cyclized by means of hot conc. aq. H2SO4 to furnish the target xanthene derivative.

参考文献No.141455
标题:Potential antitumor agents. 61. Structure-activity relationships for in vivo colon 38 activity among disubstituted 9-oxo-9H-xanthene-4-acetic acids
作者:Rewcastle, G.W.; Atwell, G.J.; Li, Z.A.; Baguley, B.C.; Denny, W.A.
来源:J Med Chem 1991,34(1),217
合成路线图解说明:

The reaction of 2,3-dimethylaniline (I) with chloral hydrate (II) and hydroxylamine in hot aq. HCl gives the isonitrosoacetanilide (III), which is cyclized by means of hot Ms-OH or H2SO4 to yield 6,7-dimethylisatin (IV). The hydrolysis of (IV) by means of KOH and H2O2 in water affords 2-amino-3,4-dimethylbenzoic acid (V), which is diazotized with NaNO2 and H2SO4 and treated with KI to provide 2-iodo-3,4-dimethylbenzoic acid (VI). The condensation of (VI) with the sodium salt of 2-(2-hydroxyphenyl)acetic acid (VII) by means of tris[2-(2-methoxyethoxy)ethyl]amine (TDA) and CuCl in DMSO gives the precursor (VIII), which is finally cyclized by means of hot conc. aq. H2SO4 to furnish the target xanthene derivative.

参考文献No.704772
标题:An improved synthesis of 5,6-dimethylxanthenone-4-acetic acid (DMXAA)
作者:Atwell, G.J.; Yang, S.; Denny, W.A.
来源:Eur J Med Chem 2002,37(10),825
合成路线图解说明:

The reaction of 2,3-dimethylaniline (I) with chloral hydrate (II) and hydroxylamine in hot aq. HCl gives the isonitrosoacetanilide (III), which is cyclized by means of hot Ms-OH or H2SO4 to yield 6,7-dimethylisatin (IV). The hydrolysis of (IV) by means of KOH and H2O2 in water affords 2-amino-3,4-dimethylbenzoic acid (V), which is diazotized with NaNO2 and H2SO4 and treated with KI to provide 2-iodo-3,4-dimethylbenzoic acid (VI). The condensation of (VI) with the sodium salt of 2-(2-hydroxyphenyl)acetic acid (VII) by means of tris[2-(2-methoxyethoxy)ethyl]amine (TDA) and CuCl in DMSO gives the precursor (VIII), which is finally cyclized by means of hot conc. aq. H2SO4 to furnish the target xanthene derivative.

Drug Information Express,Drug R&D,Chemical Database,Patent Search.
Copyright © 2006-2026 Drug Future. All rights reserved.Contact Us