【药物名称】Altoqualine, 458-L(non-sterochem.)
化学结构式(Chemical Structure):
参考文献No.575937
标题:458-L
作者:Casta馿r, J.; Blancafort, P.; Serradell, M.N.
来源:Drugs Fut 1982,7(5),317
合成路线图解说明:

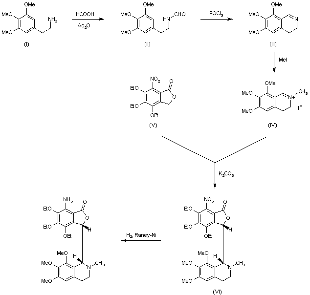
The formylation of 3,4,5-trimethoxyphenylethylamine (I) with formic acid - acetic anhydride gives N-formyl-3,4,5-trimethoxyphenylethylamine (II), which is cyclized in hot POCl3 to afford 6,7,8-trimethoxy-3,4-dihydroisoquinoline (III). The methylation of (III) with methyl iodide in acetone yields 2-methyl-6,7,8-trimethoxy-3,4-dihydroisoquinolinium iodide (IV), which is condensed with 4,5,6-triethoxy-7-nitrophthalide (V) by means of K2CO3 in methanol yielding 2-methyl-6,7,8-trimethoxy-1-(4,5,6-triethoxy-7-nitro-3-phthalidyl)-1,2,3,4-tetrahydroisoquinoline (VI). Finally, this compound is reduced with H2 over Raney-Ni in ethanol.

参考文献No.701315
标题:D閞iv閟 de phtalidyl-isoquinol閕nes, leur pr閜aration et leur application comme m閐icaments
作者:
来源:FR 2424271
合成路线图解说明:

The formylation of 3,4,5-trimethoxyphenylethylamine (I) with formic acid - acetic anhydride gives N-formyl-3,4,5-trimethoxyphenylethylamine (II), which is cyclized in hot POCl3 to afford 6,7,8-trimethoxy-3,4-dihydroisoquinoline (III). The methylation of (III) with methyl iodide in acetone yields 2-methyl-6,7,8-trimethoxy-3,4-dihydroisoquinolinium iodide (IV), which is condensed with 4,5,6-triethoxy-7-nitrophthalide (V) by means of K2CO3 in methanol yielding 2-methyl-6,7,8-trimethoxy-1-(4,5,6-triethoxy-7-nitro-3-phthalidyl)-1,2,3,4-tetrahydroisoquinoline (VI). Finally, this compound is reduced with H2 over Raney-Ni in ethanol.

Drug Information Express,Drug R&D,Chemical Database,Patent Search.
Copyright © 2006-2026 Drug Future. All rights reserved.Contact Us