【药物名称】Sertindole, S-1991, Lu-23-174(maleate), Serdolect, Serlect
化学结构式(Chemical Structure):
参考文献No.5302
标题:Heterocyclic cpds.
作者:Perregaard, J.K. (H. Lundbeck A/S)
来源:AU 8655901; EP 0200322; ES 8707499; JP 1986236764; US 4710500
合成路线图解说明:

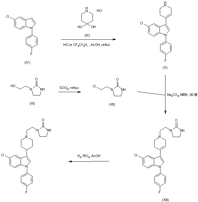
Acid-catalyzed condensation of 4-piperidone hydrate hydrochloride (IX) with indole (IV) produced the tetrahydropyridyl indole (X). This was alkylated with 1-(2-chloroethyl)imidazolinone (XII), (prepared by chlorination of the corresponding hydroxyethyl imidazolinone (XI)) to afford the N-substituted tetrahydropyridine (XIII). The target piperidine derivative was then obtained by catalytic hydrogenation of tetrahydropyridine (XIII).

参考文献No.16775
标题:Piperidyl-substd. indoles
作者:Perregaard, J.K.; Costall, B. (H. Lundbeck A/S)
来源:EP 0533824; JP 1993509080; US 5439922; WO 9200070
合成路线图解说明:

In an alternative method, Ullmann arylation of potassium N-(4-fluorophenyl)glycinate (VI) with potassium 2,5-dichlorobenzoate (V) afforded the N,N-diaryl glycine (VII). Cyclization of diacid (VII) in refluxing Ac2O produced the 3-acetoxy indole (VIII). This was then reduced to indole (IV) with NaBH4 in refluxing EtOH.

合成路线图解说明:

Acid-catalyzed condensation of 4-piperidone hydrate hydrochloride (IX) with indole (IV) produced the tetrahydropyridyl indole (X). This was alkylated with 1-(2-chloroethyl)imidazolinone (XII), (prepared by chlorination of the corresponding hydroxyethyl imidazolinone (XI)) to afford the N-substituted tetrahydropyridine (XIII). The target piperidine derivative was then obtained by catalytic hydrogenation of tetrahydropyridine (XIII).

参考文献No.57809
标题:Method of manufacturing sertindole
作者:Bech Sommer, M. (H. Lundbeck A/S)
来源:WO 9851685
合成路线图解说明:

In an alternative method, Ullmann arylation of potassium N-(4-fluorophenyl)glycinate (VI) with potassium 2,5-dichlorobenzoate (V) afforded the N,N-diaryl glycine (VII). Cyclization of diacid (VII) in refluxing Ac2O produced the 3-acetoxy indole (VIII). This was then reduced to indole (IV) with NaBH4 in refluxing EtOH.

合成路线图解说明:

Acid-catalyzed condensation of 4-piperidone hydrate hydrochloride (IX) with indole (IV) produced the tetrahydropyridyl indole (X). This was alkylated with 1-(2-chloroethyl)imidazolinone (XII), (prepared by chlorination of the corresponding hydroxyethyl imidazolinone (XI)) to afford the N-substituted tetrahydropyridine (XIII). The target piperidine derivative was then obtained by catalytic hydrogenation of tetrahydropyridine (XIII).

参考文献No.174453
标题:Noncataleptogenic, centrally acting dopamine D-2 and serotonin 5-HT2 antagonists within a series of 3-substituted 1-(4-fluorophenyl)-1H-indoles
作者:Perregaard, J.; Arnt, J.; Bogeso, K.P.; Hyttel, J.; S醤chez, C.
来源:J Med Chem 1992,35(6),1092
合成路线图解说明:

Decarbomethoxylation of the known 3-hydroxyindole-2-carboxylate (I) in the presence of magnesium chloride in NMP at 160 C afforded indolinone (II), which was subsequently reduced with NaBH4 to the 3-hydroxy indoline (III). Dehydration of (III) by means of trifluoroacetic acid furnished indole (IV).

合成路线图解说明:

In an alternative method, Ullmann arylation of potassium N-(4-fluorophenyl)glycinate (VI) with potassium 2,5-dichlorobenzoate (V) afforded the N,N-diaryl glycine (VII). Cyclization of diacid (VII) in refluxing Ac2O produced the 3-acetoxy indole (VIII). This was then reduced to indole (IV) with NaBH4 in refluxing EtOH.

合成路线图解说明:

Acid-catalyzed condensation of 4-piperidone hydrate hydrochloride (IX) with indole (IV) produced the tetrahydropyridyl indole (X). This was alkylated with 1-(2-chloroethyl)imidazolinone (XII), (prepared by chlorination of the corresponding hydroxyethyl imidazolinone (XI)) to afford the N-substituted tetrahydropyridine (XIII). The target piperidine derivative was then obtained by catalytic hydrogenation of tetrahydropyridine (XIII).

Drug Information Express,Drug R&D,Chemical Database,Patent Search.
Copyright © 2006-2026 Drug Future. All rights reserved.Contact Us