【药物名称】SR-31747A, SR-31747, CM-31747
化学结构式(Chemical Structure):
参考文献No.12798
标题:Benzene derivates, their preparation and pharmaceutical compsns. containing them
作者:Breli鑢e, J.-C.; Casellas, P.; Lavastre, S.; Paul, R. (Sanofi-Synth閘abo)
来源:EP 0376850; FR 2641276; JP 1991002116; US 5354781
合成路线图解说明:

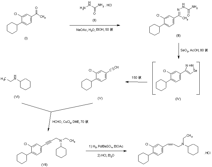
Condensation of 3'-chloro-4'-cyclohexylacetophenone (I) with semicarbazide hydrochloride (II) produced the semicarbazone (III). Treatment of (III) with selenium dioxide in HOAc generated the intermediate selenodiazole (IV) which, on further heating, gave rise to the aryl acetylene (V). Cupric chloride-catalyzed Mannich condensation of acetylene (V) with N-ethyl cyclohexylamine (VI) and formaldehyde yielded the propargyl amine (VII). Partial hydrogenation of the triple bond of (VII) using the Lindlar catalyst provided the target (Z)-propenyl amine, which was finally converted to the hydrochloride salt.

参考文献No.680026
标题:The preparation of immunosuppressant SR-31747
作者:Burgess, L.E.
来源:Synth Commun 1997,27(12),2181
合成路线图解说明:

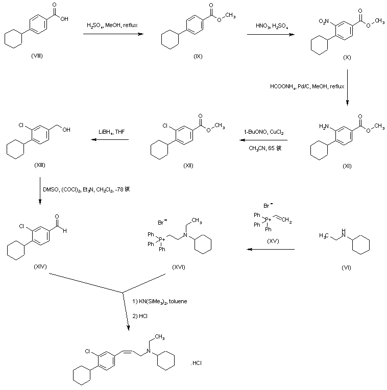
A different synthetic strategy was further reported. Fischer esterification of 4-cyclohexylbenzoic acid (VIII) with MeOH and H2SO4, followed by aromatic nitration of the resultant benzoate ester (IX), yielded methyl 4-cyclohexyl-3-nitrobenzoate (X). Nitro group reduction in (X) by transfer hydrogenation provided amine (XI). This was converted to the chloro derivative (XII) by application of a modified Sandmeyer reaction with tert-butyl nitrite and cupric chloride. Ester group reduction in (XII) with LiBH4, followed by Swern oxidation of the resultant alcohol (XIII), furnished aldehyde (XIV). The aminoethyl phosphonium salt (XVI) was prepared by addition of N-ethyl cyclohexylamine (VI) to vinyl triphenylphosphonium bromide (XV). The corresponding ylide generated in situ from phosphonium salt (XV) and potassium bis(trimethylsilyl)amide was then subjected to a Wittig reaction with aldehyde (XIV) to afford the title (Z)-propenyl amine.

Drug Information Express,Drug R&D,Chemical Database,Patent Search.
Copyright © 2006-2026 Drug Future. All rights reserved.Contact Us