【药物名称】Quinotolast sodium, FR-71021, FK-021
化学结构式(Chemical Structure):
参考文献No.2879
标题:Quinolizinone cpd., processes for preparation thereof and pharmaceutical compsns. comprising the same
作者:Kitaura, Y.; Oku, T.; Hirai, H.; Yamamoto, T.; Hashimoto, M. (Fujisawa Pharmaceutical Co., Ltd.)
来源:AU 8547341; EP 0157346; ES 8609321; JP 1985222482; JP 1987077385; JP 1988284174; JP 1989193268; JP 1990015029; US 4650804; US 4698349
合成路线图解说明:

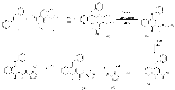
Reaction of 2-phenoxymethylpyridine (I) with diethyl ethoxymethylenemalonate (II) and n-butyllithium in THF gives ethyl 3-ethoxy-2-(ethoxycarbonyl)-4-phenoxy-4-(2-pyridyl)butyrate (III), which is cyclized to ethyl 4-oxo-1-phenoxy-4H-quinolizine-3-carboxylate (IV) by heating at 250 C in a mixture of diphenyl and diphenyl ether. Ester hydrolysis of (IV) with sodium hydroxide in methanol yields 4-oxo-1-phenoxy-4H-quinolizine-3-carboxylic acid (V), which is converted to 4-oxo-1-phenoxy-N-(1H-tetrazol-5-yl)-4H-quinolizine-3-carboxamide (VII) on treatment with carbonyldiimidazole and 5-amino-1H-tetrazole (VI) in DMF. Finally, the sodium salt of (VII) is formed by means of sodium hydroxide.

参考文献No.10962
标题:Crystalline monohydrate of sodium N-(1H-tetrazol-5-yl)-1-phenoxy-4H-quinolizin-4-one-3-carboxamide
作者:Kitamura, S.; Okamoto, Y.; Tada, T.; Momonaga, M. (Fujisawa Pharmaceutical Co., Ltd.)
来源:EP 0301465; JP 1989104073
合成路线图解说明:

Reaction of 2-phenoxymethylpyridine (I) with diethyl ethoxymethylenemalonate (II) and n-butyllithium in THF gives ethyl 3-ethoxy-2-(ethoxycarbonyl)-4-phenoxy-4-(2-pyridyl)butyrate (III), which is cyclized to ethyl 4-oxo-1-phenoxy-4H-quinolizine-3-carboxylate (IV) by heating at 250 C in a mixture of diphenyl and diphenyl ether. Ester hydrolysis of (IV) with sodium hydroxide in methanol yields 4-oxo-1-phenoxy-4H-quinolizine-3-carboxylic acid (V), which is converted to 4-oxo-1-phenoxy-N-(1H-tetrazol-5-yl)-4H-quinolizine-3-carboxamide (VII) on treatment with carbonyldiimidazole and 5-amino-1H-tetrazole (VI) in DMF. Finally, the sodium salt of (VII) is formed by means of sodium hydroxide.

参考文献No.236722
标题:Quinotolast Sodium
作者:Casta馿r, J.; Prous, J.; Mealy, N.
来源:Drugs Fut 1994,19(2),118
合成路线图解说明:

Reaction of 2-phenoxymethylpyridine (I) with diethyl ethoxymethylenemalonate (II) and n-butyllithium in THF gives ethyl 3-ethoxy-2-(ethoxycarbonyl)-4-phenoxy-4-(2-pyridyl)butyrate (III), which is cyclized to ethyl 4-oxo-1-phenoxy-4H-quinolizine-3-carboxylate (IV) by heating at 250 C in a mixture of diphenyl and diphenyl ether. Ester hydrolysis of (IV) with sodium hydroxide in methanol yields 4-oxo-1-phenoxy-4H-quinolizine-3-carboxylic acid (V), which is converted to 4-oxo-1-phenoxy-N-(1H-tetrazol-5-yl)-4H-quinolizine-3-carboxamide (VII) on treatment with carbonyldiimidazole and 5-amino-1H-tetrazole (VI) in DMF. Finally, the sodium salt of (VII) is formed by means of sodium hydroxide.

Drug Information Express,Drug R&D,Chemical Database,Patent Search.
Copyright © 2006-2026 Drug Future. All rights reserved.Contact Us