【药物名称】U-50488 hydrochloride
化学结构式(Chemical Structure):
参考文献No.701314
标题:2-Aminocycloaliphatic amide compounds
作者:Szmuszkovicz, J.
来源:DE 2749950; ES 463876; FR 2370723; GB 1569225; JP 53063351; JP 61233654; US 4145435
合成路线图解说明:

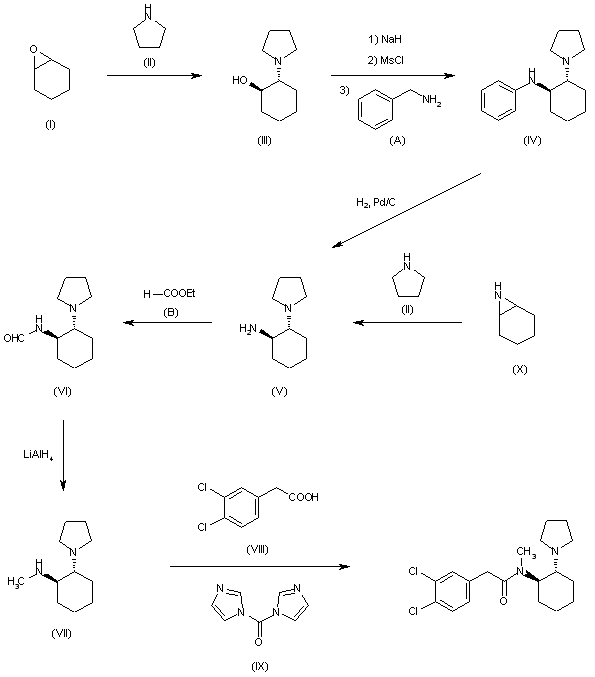
The condensation of cyclohexene-epoxide (I) with pyrrolidine (II) gives trans-2-(1-pyrrolidinyl)cyclohexanol (III), which by reaction with NaH and methanesulfonyl chloride, and then with benzylamine is converted into trans-2-(1-pyrrolidinyl)-N-benzylcyclohexylamine (IV). The debenzylation of (IV) by hydrogenolysis with H2 over Pd/C affords trans-2-(1-pyrrolidinyl)cyclohexylamine (V), which is formylated with ethyl formate to the corresponding N-formyl-trans-2-(1-pyrrolidinyl)cyclohexylamine (VI). The reduction of (VI) with LiAlH4 in refluxing ether gives trans-N-methyl-2-(1-pyrrolidinyl)cyclohexylamine (VII), which is finally condensed with 3,4-dichlorophenylacetic acid (VIII) by means of carbonyl diimidazole (IX) in THF.

参考文献No.800410
标题:U-50488
作者:Blancafort, P.; Casta馿r, J.; Serradell, M.N.
来源:Drugs Fut 1982,7(6),416
合成路线图解说明:

The condensation of cyclohexene-epoxide (I) with pyrrolidine (II) gives trans-2-(1-pyrrolidinyl)cyclohexanol (III), which by reaction with NaH and methanesulfonyl chloride, and then with benzylamine is converted into trans-2-(1-pyrrolidinyl)-N-benzylcyclohexylamine (IV). The debenzylation of (IV) by hydrogenolysis with H2 over Pd/C affords trans-2-(1-pyrrolidinyl)cyclohexylamine (V), which is formylated with ethyl formate to the corresponding N-formyl-trans-2-(1-pyrrolidinyl)cyclohexylamine (VI). The reduction of (VI) with LiAlH4 in refluxing ether gives trans-N-methyl-2-(1-pyrrolidinyl)cyclohexylamine (VII), which is finally condensed with 3,4-dichlorophenylacetic acid (VIII) by means of carbonyl diimidazole (IX) in THF.

Drug Information Express,Drug R&D,Chemical Database,Patent Search.
Copyright © 2006-2026 Drug Future. All rights reserved.Contact Us