【药物名称】Efegatran sulfate hydrate, LY-294468, GYKI-14766
化学结构式(Chemical Structure):
参考文献No.122531
标题:Highly active and selective anticoagulants: D-Phe-Pro-Arg-H, a free tripeptide aldehyde prone to spontaneous inactivation and its stable N-methyl derivative, D-MePhe-Pro-Arg-H
作者:Sz閘l, E.; Bagdy, D.; Bajusz, S.; et al.
来源:J Med Chem 1990,33(6),1729-35
合成路线图解说明:

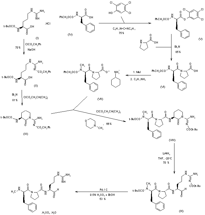
The synthesis of GYKI-14766 is as follows: N2-tert-Butoxycarbonyl-L-arginine (I) was converted to the N6-benzyloxycarbonyl derivative (II). Treatment of (II) with isobutoxycarbonyl chloride and N-methylmorpholine gave the aminolactam (III). Dicyclohexylcarbodiimide-mediated esterification of N-benzyloxycarbonyl-D-phenylalanine (IV) with 2,4,5-trichlorophenol gave the active ester (V), which was coupled with L-proline to the dipeptide (VI). Methylation with iodomethane afforded the N-methyl derivative isolated as the cyclohexylamine salt (VII). The fragments (III) and (VII) were coupled via the mixed anhydride of (VII), generated as in the case of (II), giving the tripeptide lactam (VIII). Reduction with lithium aluminum hydride at low temperature converted (VIII) to the aldehyde (IX), which was finally deprotected to the end product.

参考文献No.194562
标题:GYKI-14766
作者:N骻radi, M.
来源:Drugs Fut 1992,17(12),1087
合成路线图解说明:

The synthesis of GYKI-14766 is as follows: N2-tert-Butoxycarbonyl-L-arginine (I) was converted to the N6-benzyloxycarbonyl derivative (II). Treatment of (II) with isobutoxycarbonyl chloride and N-methylmorpholine gave the aminolactam (III). Dicyclohexylcarbodiimide-mediated esterification of N-benzyloxycarbonyl-D-phenylalanine (IV) with 2,4,5-trichlorophenol gave the active ester (V), which was coupled with L-proline to the dipeptide (VI). Methylation with iodomethane afforded the N-methyl derivative isolated as the cyclohexylamine salt (VII). The fragments (III) and (VII) were coupled via the mixed anhydride of (VII), generated as in the case of (II), giving the tripeptide lactam (VIII). Reduction with lithium aluminum hydride at low temperature converted (VIII) to the aldehyde (IX), which was finally deprotected to the end product.

Drug Information Express,Drug R&D,Chemical Database,Patent Search.
Copyright © 2006-2026 Drug Future. All rights reserved.Contact Us