【药物名称】KW-3635
化学结构式(Chemical Structure):
参考文献No.11648
标题:Tricyclic cpds
作者:Oshima, E.; Obase, H.; Karasawa, A.; Kubo, K.; Miki, I.; Ishii, A. (Kyowa Hakko Kogyo Co., Ltd.)
来源:EP 0345747; JP 1990091040; US 4999363; US 5118701; US 5242931; US 5302596
合成路线图解说明:

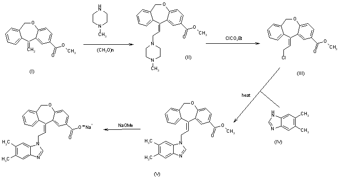
The reaction of 11-methylene-6,11-dihydrodibenzo[b,e]oxepine-2-carboxylic acid methyl ester (I) with N-methylpiperazine and paraformaldehyde by means of trifluoroacetic acid in hot tetrachloroethane gives 11-[2-(4-methylpiperazin-1-yl)ethylidene]-6,11-dihydrodibenzo[b,e]oxepine-2-carboxylic acid methyl ester (II), which by reaction with ethyl chloroformate and sodium acetate in dichloromethane yields the corresponding 2-chloroethylidene derivative (III). The condensation of (III) with 5,6-dimethyl-1H-benzimidazole (IV) in refluxing toluene affords the methyl ester (V) of the desired product, which is finally hydrolyzed with sodium methoxide in methanol.

参考文献No.144612
标题:Synthesis and biological activity of a novel thromboxane A2 receptor antagonist, KW-3635, and its related derivatives
作者:Ishii, A.; Higo, K.; Miki, I.; Kubo, K.; Ohshima, E.; Takami, H.; Karasawa, A.; Sato, H.; Obase, H.; Shirakura, S.
来源:11th Symp Med Chem (Dec 4-5, Tokushima) 1990,Abst P-6
合成路线图解说明:

The reaction of 11-methylene-6,11-dihydrodibenzo[b,e]oxepine-2-carboxylic acid methyl ester (I) with N-methylpiperazine and paraformaldehyde by means of trifluoroacetic acid in hot tetrachloroethane gives 11-[2-(4-methylpiperazin-1-yl)ethylidene]-6,11-dihydrodibenzo[b,e]oxepine-2-carboxylic acid methyl ester (II), which by reaction with ethyl chloroformate and sodium acetate in dichloromethane yields the corresponding 2-chloroethylidene derivative (III). The condensation of (III) with 5,6-dimethyl-1H-benzimidazole (IV) in refluxing toluene affords the methyl ester (V) of the desired product, which is finally hydrolyzed with sodium methoxide in methanol.

参考文献No.182871
标题:KW-3635
作者:Prous, J.; Casta馿r, J.
来源:Drugs Fut 1992,17(9),782
合成路线图解说明:

The reaction of 11-methylene-6,11-dihydrodibenzo[b,e]oxepine-2-carboxylic acid methyl ester (I) with N-methylpiperazine and paraformaldehyde by means of trifluoroacetic acid in hot tetrachloroethane gives 11-[2-(4-methylpiperazin-1-yl)ethylidene]-6,11-dihydrodibenzo[b,e]oxepine-2-carboxylic acid methyl ester (II), which by reaction with ethyl chloroformate and sodium acetate in dichloromethane yields the corresponding 2-chloroethylidene derivative (III). The condensation of (III) with 5,6-dimethyl-1H-benzimidazole (IV) in refluxing toluene affords the methyl ester (V) of the desired product, which is finally hydrolyzed with sodium methoxide in methanol.

Drug Information Express,Drug R&D,Chemical Database,Patent Search.
Copyright © 2006-2026 Drug Future. All rights reserved.Contact Us