【药物名称】E-6123
化学结构式(Chemical Structure):
参考文献No.12394
标题:1,4-Diazepine deriv. and its pharmaceutical use
作者:Okano, K.; Miyazawa, S.; Clark, R.S.J.; Abe, S.; Kawahara, T.; Shimomura, N.; Asano, O.; Yoshimura, H.; Miyamoto, M.; Sakuma, Y.; Muramoto, K.; Obaishi, H.; Harada, K.; Tsunoda, H.; Katayama, S.; Yamada, K.; Souda, S.; et al. (Eisai Co., Ltd.)
来源:AU 8943761; EP 0367110; EP 0606103; EP 0677524; JP 1990256682; US 5221671; US 5304553; US 5382579; US 5409909; US 5438045; US 5468740; US 5482937
合成路线图解说明:

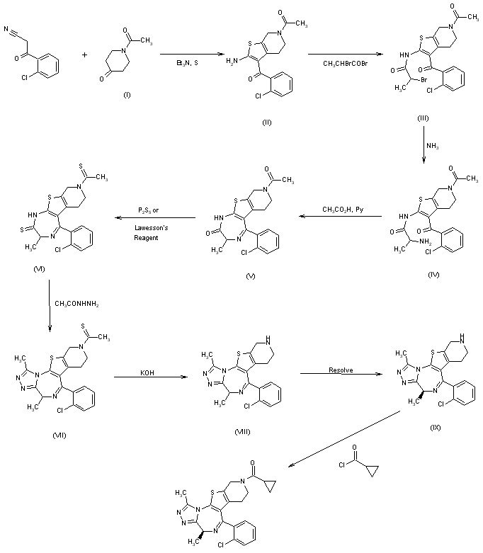
1-Acetyl-4-piperidone (I) is condensed with 2-chlorocyanoacetophenone in the presence of sulfur and base to give the thiophene (II). Treatment of (II) with 2-bromopropionyl bromide gives the amide (III), which on reaction with ammonia gives the amine (IV). Cyclization of (IV) with acetic acid/pyridine gives the diazepine (V). Reaction of the amide of (V) with phosphorus pentasulfide or Lawesson's reagent produces the thioamide (VI), which is reacted with acetic hydrazide to give the triazole (VII). Basic hydrolysis of the amide of (VII) produces the amine (VIII), which is resolved to give the S-enantiomer (IX). Reaction of (IX) with cyclopropanecarbonyl chloride gives the amide (X).

参考文献No.135410
标题:E6123
作者:Clark, R.S.J.
来源:Drugs Fut 1991,16(4),310
合成路线图解说明:

1-Acetyl-4-piperidone (I) is condensed with 2-chlorocyanoacetophenone in the presence of sulfur and base to give the thiophene (II). Treatment of (II) with 2-bromopropionyl bromide gives the amide (III), which on reaction with ammonia gives the amine (IV). Cyclization of (IV) with acetic acid/pyridine gives the diazepine (V). Reaction of the amide of (V) with phosphorus pentasulfide or Lawesson's reagent produces the thioamide (VI), which is reacted with acetic hydrazide to give the triazole (VII). Basic hydrolysis of the amide of (VII) produces the amine (VIII), which is resolved to give the S-enantiomer (IX). Reaction of (IX) with cyclopropanecarbonyl chloride gives the amide (X).

参考文献No.172224
标题:A practical synthesis of optically active platelet-activating factor antagonist, E6123, and its absolute configuration
作者:Miyazawa, S.; Shimomura, N.; Okano, K.; et al.
来源:Chem Pharm Bull 1992,40(2),521
合成路线图解说明:

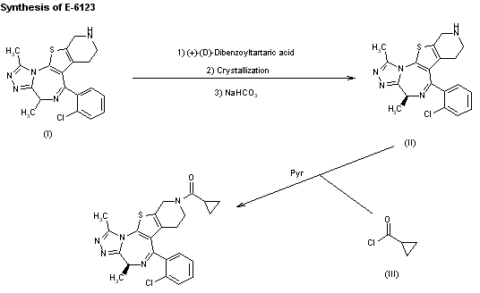
A large-scale production method (kg scale) for E-6123 has been reported: The optical resolution of racemic 6-(2-chlorophenyl)-1,4-dimethyl-7,8,9,10-tetrahydro-4H-pyrido[4',3':4,5]thieno[3,2-f][1,2,4]triazolo[4,3-a][1,4]diazepine (I), prepared by the previously reported method, by crystallization of its salt with (+)-(D)-dibenzoyltartaric acid in ethanol and treatment with aqueous NaHCO3 gives the corresponding (S)-isomer (II), which is then acylated with cyclopropanecarbonyl chloride (III) and pyridine in dichloromethane.

Drug Information Express,Drug R&D,Chemical Database,Patent Search.
Copyright © 2006-2026 Drug Future. All rights reserved.Contact Us