【药物名称】Eplivanserin, SR-46349
化学结构式(Chemical Structure):
参考文献No.12655
标题:Propenone oxime ethers, method for their preparation and pharmaceutical compsns. containing them
作者:Congy, C.; Labeeuw, B.; Gueule, P.; Rinaldi, M. (Sanofi-Synth閘abo)
来源:EP 0373998; FR 2639942; JP 1990262552
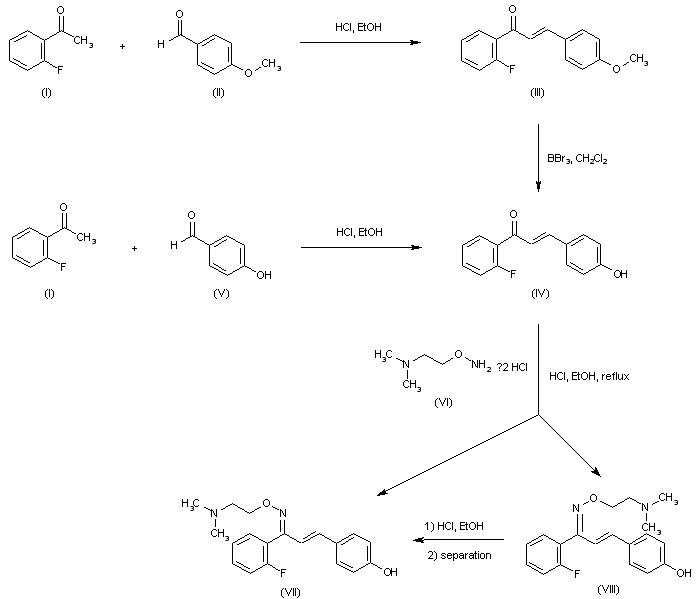
合成路线图解说明:

Condensation of 2'-fluoroacetophenone (I) with 4-methoxybenzaldehyde (II) under acidic conditions afforded chalcone (III). This was subsequently demethylated with boron tribromide to yield the 4-hydroxy chalcone (IV). Alternatively, chalcone (IV) was also obtained by condensation of 2'-fluoroacetophenone (I) with 4-hydroxybenzaldehyde (V). Reaction of chalcone (IV) with 2-(dimethylamino)ethoxyamine dihydrochloride (VI) produced the corresponding oxime as a mixture of syn target compound and anti (VIII) isomers. The title syn isomer was isolated by fractional extraction at increasing pH values or, alternatively, by recrystallization as the corresponding hemifumarate salt. Optionally, the undesired anti compound (VIII) was isomerized by acidic treatment to produce a 45:55 mixture of target compound and (VIII).

Drug Information Express,Drug R&D,Chemical Database,Patent Search.
Copyright © 2006-2026 Drug Future. All rights reserved.Contact Us