【药物名称】Tolcapone, Ro-40-7592, Tasmar
化学结构式(Chemical Structure):
参考文献No.15319
标题:3,5-Disubstituted pyrocatechol derivs
作者:Bernauer, K.; Borgulya, J.; Bruderer, H.; Da Prada, M.; Zurcher, G. (F. Hoffmann-La Roche AG)
来源:EP 0237929; US 5389653; US 5476875
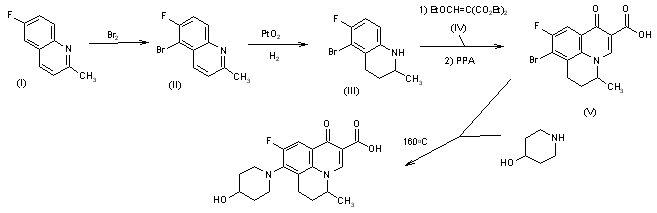
合成路线图解说明:

The bromination of 5-fluoro-2-methylquinoline (I) with Br2 and Ag2SO4 in H2SO4 or with Br2 and AlCl3 gives 5-bromo-6-fluoro-2-methylquinoline (II), which is reduced with H2 over PtO2 in acetic acid, yielding 5-bromo-6-fluoro-2-methyl-1,2,3,4-tetrahydroquinoline (III). The cyclization of (III) with diethyl ethoxymethylenemalonate (IV) and polyphosphoric acid (PPA) at 150 C affords 8-bromo-9-fluoro-5-methyl-1-oxo-6,7-dihydro-1H,5H-benzo[i,j]quinolizine-2-carboxylic acid (V), which is finally condensed with 4-hydroxypiperidine (VI) by heating at 160 C in HMPT.

合成路线图解说明:

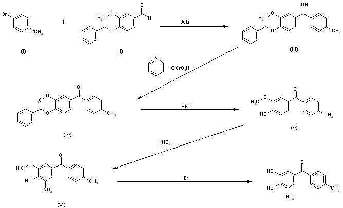
The synthesis of Ro 40-7592 is carried out as follows: Addition of 4-bromotoluene (I) to 4-(benzyloxy)-3-methoxybenzaldehyde (II) in the presence of butyllithium in THF at -78 C gives 4-(benzyloxy)-3-methoxy-4'-methylbenzhydrol (III). Oxidation of this compound with pyridinium chlorochromate in CH2Cl2 yields the corresponding 4-(benzyloxy)-3-methoxy-4'-methylbenzophenone (IV). Debenzylation of (IV) with 30% aqueous hydrobromic acid in acetic acid affords 4-hydroxy-3-methoxy-4'-methylbenzophenone (V). Regioselective nitration of (V) with 65% aqueous nitric acid in acetic acid gives 4-hydroxy-3-methoxy-4'-methyl-5-nitrobenzophenone (VI). Hydrolysis of the methoxy group in (VI) with 30% aqueous hydrobromic acid in boiling acetic acid affords 3,4-dihydroxy-4'-methyl-5-nitrobenzophenone, Ro 40-7592.

参考文献No.142757
标题:Ro 40-7592
作者:Scherschlicht, R.; Schl鋚pi, B.; Borgulya, J.; Dingemanse, J.; Da Prada, M.; Z黵cher, G.
来源:Drugs Fut 1991,16(8),719
合成路线图解说明:

The synthesis of Ro 40-7592 is carried out as follows: Addition of 4-bromotoluene (I) to 4-(benzyloxy)-3-methoxybenzaldehyde (II) in the presence of butyllithium in THF at -78 C gives 4-(benzyloxy)-3-methoxy-4'-methylbenzhydrol (III). Oxidation of this compound with pyridinium chlorochromate in CH2Cl2 yields the corresponding 4-(benzyloxy)-3-methoxy-4'-methylbenzophenone (IV). Debenzylation of (IV) with 30% aqueous hydrobromic acid in acetic acid affords 4-hydroxy-3-methoxy-4'-methylbenzophenone (V). Regioselective nitration of (V) with 65% aqueous nitric acid in acetic acid gives 4-hydroxy-3-methoxy-4'-methyl-5-nitrobenzophenone (VI). Hydrolysis of the methoxy group in (VI) with 30% aqueous hydrobromic acid in boiling acetic acid affords 3,4-dihydroxy-4'-methyl-5-nitrobenzophenone, Ro 40-7592.

参考文献No.145252
标题:Catechol-O-methyltransferase-inhibiting pyrocatechol derivatives: Synthesis and structure-activity studies
作者:Z黵cher, G.; Da Prada, M.; Borgulya, J.; Bernauer, K.; Bruderer, H.
来源:Helv Chim Acta 1989,72952-68
合成路线图解说明:

The synthesis of Ro 40-7592 is carried out as follows: Addition of 4-bromotoluene (I) to 4-(benzyloxy)-3-methoxybenzaldehyde (II) in the presence of butyllithium in THF at -78 C gives 4-(benzyloxy)-3-methoxy-4'-methylbenzhydrol (III). Oxidation of this compound with pyridinium chlorochromate in CH2Cl2 yields the corresponding 4-(benzyloxy)-3-methoxy-4'-methylbenzophenone (IV). Debenzylation of (IV) with 30% aqueous hydrobromic acid in acetic acid affords 4-hydroxy-3-methoxy-4'-methylbenzophenone (V). Regioselective nitration of (V) with 65% aqueous nitric acid in acetic acid gives 4-hydroxy-3-methoxy-4'-methyl-5-nitrobenzophenone (VI). Hydrolysis of the methoxy group in (VI) with 30% aqueous hydrobromic acid in boiling acetic acid affords 3,4-dihydroxy-4'-methyl-5-nitrobenzophenone, Ro 40-7592.

Drug Information Express,Drug R&D,Chemical Database,Patent Search.
Copyright © 2006-2026 Drug Future. All rights reserved.Contact Us