【药物名称】Aprikalim, RP-52891, Aprim
化学结构式(Chemical Structure):
参考文献No.147141
标题:2-(3-PYRIDYL)-TETRAHYDROTHIOPYRAN-2-CARBOTHIOAMIDE DERIVATIVES AND ANALOGUES: A NOVEL FAMILY OF POTENT POTASSIUM CHANNEL OPENERS
作者:Aloup, J.C.; Farge, D.; James, C.; Mondot, S.; Cavero, I.
来源:Drugs Fut 1990,15(11),1097
合成路线图解说明:

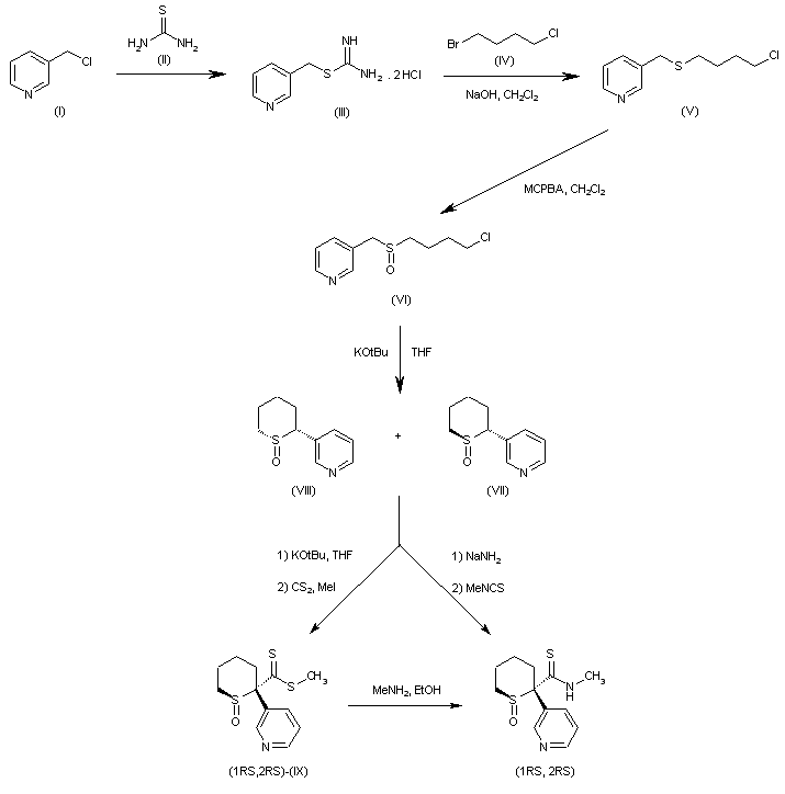
The reaction of 3-(chloromethyl)pyridine (I) with thiourea (II) in ethanol gives S-(3-pyridylmethyl)isothiourea (III), which is condensed with 4-chlorobutyl bromide (IV) by means of NaOH in dichloromethane to yield 3-(4-chlorobutylsulfanylmethyl)pyridine (V). The careful oxidation of (V) with MCPBA in dichloromethane affords the corresponding sulfoxide (VI), which is cyclized by means of potassium tert-butoxide in THF, providing a mixture of cis- and trans-2-(3-pyridyl)tetrahydrothiopyran S-oxide (VII + VIII). This mixture can be separated by conventional methods; however, when this mixture (VII + VIII), or either (VII) or (VIII) separately, are treated with NaNH2 and methyl isothiocyanate, only the target (1RS,2RS)-compound is obtained. Alternatively, the mixture (VII + VIII) or either (VII) or (VIII) can also be treated with potassium tert-butoxide, CS2 and methyl iodide to yield the (1RS,2RS)-dithioester (IX), which is finally converted into the target compound by reaction with methylamine.

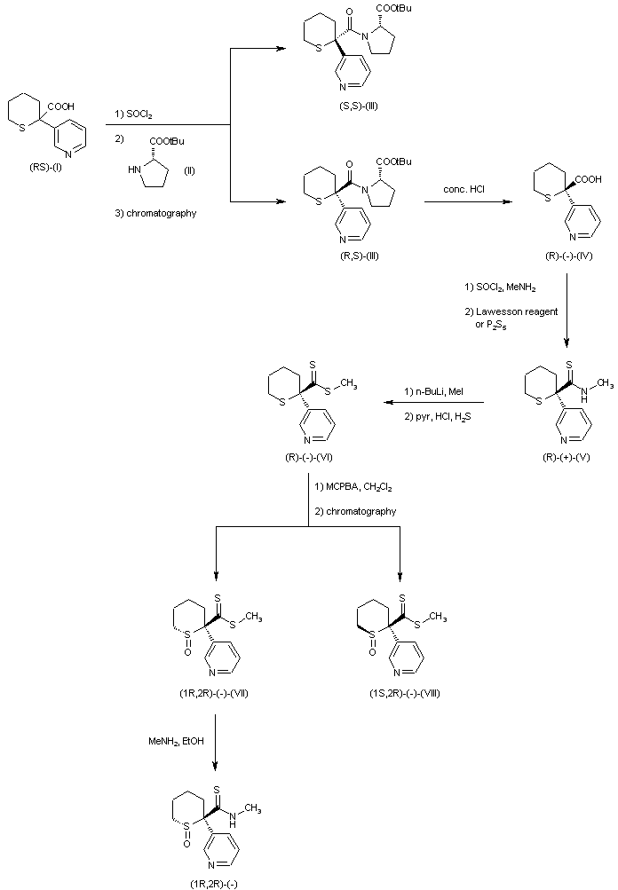
合成路线图解说明:

The condensation of 2-(3-pyridinyl)tetrahydrothiopyran-2-carboxylic acid (I) with L-proline tert-butyl ester (II) by means of SOCl2 gives the corresponding amide as a diastereomeric mixture (S,S)-(III) + (R,S)-(III) that is separated by chromatography. The desired isomer (R,S)-(III) is hydrolyzed with conc. HCl to yield 2-(3-pyridinyl)tetrahydrothiopyran-2-carboxylic acid (R)-(IV), which is treated first with SOCl2 and methylamine, and then with Lawesson reagent or P2S5 to afford the thioamide (R)-(V). The reaction of (R)-(V) with methyl iodide, n-BuLi and H2S in pyridine provides the dithioester (R)-(VI), which is carefully oxidized with MCPBA in dichloromethane to provide the corresponding sulfoxide as a diastereomeric mixture (1R,2R)-(VII) + (1S,2R)-(VII) that is separated by chromatography. Finally, the desired isomer (1R,2R)-(VII) is treated with methylamine in ethanol to furnish the target thioamide.

Drug Information Express,Drug R&D,Chemical Database,Patent Search.
Copyright © 2006-2026 Drug Future. All rights reserved.Contact Us