【药物名称】RU-47067
化学结构式(Chemical Structure):
参考文献No.136587
标题:RU-47067
作者:Toja, E.; Galliani, G.
来源:Drugs Fut 1991,16(4),321
合成路线图解说明:

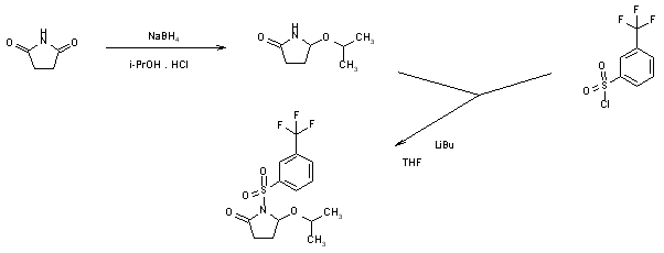
Sodium borohydride reduction of succinimide in isopropanol, according to the Speckamp's procedure, gives 5-isopropoxy-2-pyrrolidinone. Condensation with 3-trifluoromethylbenzenesulfonyl chloride (2) is effected with n-butyllithium in tetrahydrofuran at low temperature to give RU-47067 in an overall yield of 38%.

参考文献No.802318
标题:NaBH4 reduction of cyclic imides
作者:Wijnberg, J.B.P.A.; Speckamp, W.N.; ubert, J.C.
来源:Tetrahedron 1975,311437-41
合成路线图解说明:

Sodium borohydride reduction of succinimide in isopropanol, according to the Speckamp's procedure, gives 5-isopropoxy-2-pyrrolidinone. Condensation with 3-trifluoromethylbenzenesulfonyl chloride (2) is effected with n-butyllithium in tetrahydrofuran at low temperature to give RU-47067 in an overall yield of 38%.

参考文献No.802319
标题:m-Trifluoromethylbenzenesulfonyl chloride
作者:Hoffmann, R.V.
来源:Org Synth Coll7508-11
合成路线图解说明:

Sodium borohydride reduction of succinimide in isopropanol, according to the Speckamp's procedure, gives 5-isopropoxy-2-pyrrolidinone. Condensation with 3-trifluoromethylbenzenesulfonyl chloride (2) is effected with n-butyllithium in tetrahydrofuran at low temperature to give RU-47067 in an overall yield of 38%.

Drug Information Express,Drug R&D,Chemical Database,Patent Search.
Copyright © 2006-2026 Drug Future. All rights reserved.Contact Us