【药物名称】Pantoprazole sodium, DZ-2352a, B-8510-29(free acid), By-1023/SK&F-96022(free acid), B-8610-23/SK&F-96022-Z, Pantorc, Rifun, Pantozol, Zurcal, Ulcotenal, Inipomp, Pantecta, Anagastra, Pantoloc, Pantopan, Inipomp, Peptazol, Protonix, Protium
化学结构式(Chemical Structure):
参考文献No.1321
标题:Antisecretory substd. pyridylmethylthio-(or sulfinyl)benzimidazoles
作者:Rainer, G.; Riedel, R.; Senn-Bilfinger, J.; Klemm, K.; Schaefer, H.; Figala, V. (Altana Pharma Deutschland GmbH )
来源:EP 0134400; JP 1984206379; JP 1993086037; US 4555518
合成路线图解说明:

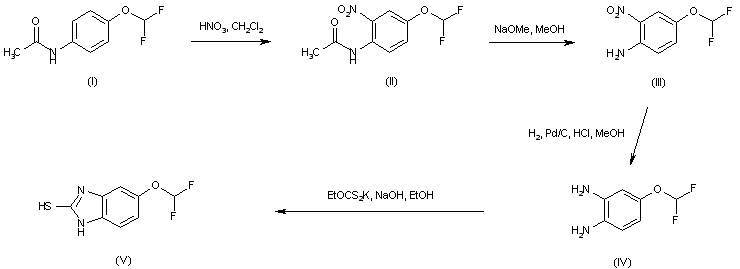
The precursor 5-(difluoromethoxy)-2-mercaptobenzimidazole (V) was prepared by the following route. Nitration of N-(p-difluoromethoxyphenyl)acetamide (I) provided nitro anilide (II), which was hydrolyzed to the corresponding nitro aniline (III) employing methanolic NaOMe. Reduction of (III) to the phenylenediamine (IV) was performed by catalytic hydrogenation over Pd/C. Then, cyclization of diamine (IV) with potassium O-ethyl dithiocarbonate gave rise to the benzimidazole (V).

参考文献No.3557
标题:Dialkoxypyridines, process for their preparation, their use and medicines containing them
作者:Kohl, B.; Sturm, E.; Klemm, K.; Riedel, R.; Figala, V.; Rainer, G.; Schaefer, H.; Senn-Bilfinger, J. (Altana Pharma Deutschland GmbH )
来源:AU 8543640; EP 0166287; JP 1986022079; US 4758579
合成路线图解说明:

The precursor 5-(difluoromethoxy)-2-mercaptobenzimidazole (V) was prepared by the following route. Nitration of N-(p-difluoromethoxyphenyl)acetamide (I) provided nitro anilide (II), which was hydrolyzed to the corresponding nitro aniline (III) employing methanolic NaOMe. Reduction of (III) to the phenylenediamine (IV) was performed by catalytic hydrogenation over Pd/C. Then, cyclization of diamine (IV) with potassium O-ethyl dithiocarbonate gave rise to the benzimidazole (V).

参考文献No.58267
标题:Chemical process for the production of sulphinyl derivs. by oxidation of the corresponding co-derivs. with perborates
作者:Brennan, J.P.; Turner, A.T. (Abbott Laboratories Inc.)
来源:WO 9947514
合成路线图解说明:

3-Methoxy-2-methylpyridine (VII), prepared by methylation of 2-methyl-3-pyridinol (VI), was converted to the N-oxide (VIII) employing peracetic acid. Nitration of the pyridine N-oxide (VIII) with concentrated nitric acid gave the 4-nitro derivative (IX). Subsequent displacement of the nitro group of (IX) by sodium methoxide led to the dimethoxypyridine N-oxide (X). Rearrangement of the N-oxide group of (X) in hot acetic anhydride produced the acetoxymethyl pyridine (XI). After basic hydrolysis of the acetate ester (XI), the resultant hydroxymethyl pyridine (XII) was chlorinated by SOCl2, yielding chloride (XIII). Condensation between mercapto benzimidazole (V) and the chloromethyl pyridine (XIII) in ethanolic NaOH led to the sulfide adduct (XIV). This was finally oxidized to the desired sulfoxide by using meta-chloroperbenzoic acid in CH2Cl2. The oxidation of sulfide (XIV) has also been performed employing sodium perborate, sodium percarbonate in the presence of ammonium molybdate, or tert-butyl hydroperoxide in the presence of vanadyl acetylacetonate.

参考文献No.58268
标题:Method for oxidizing a thioether group into a sulfoxide group
作者:Coppi, L.; Campon Pardo, J.; Berenguer Maimo, R. (Laboratorios del Dr. Esteve, SA)
来源:ES 2163372; WO 0168594
合成路线图解说明:

3-Methoxy-2-methylpyridine (VII), prepared by methylation of 2-methyl-3-pyridinol (VI), was converted to the N-oxide (VIII) employing peracetic acid. Nitration of the pyridine N-oxide (VIII) with concentrated nitric acid gave the 4-nitro derivative (IX). Subsequent displacement of the nitro group of (IX) by sodium methoxide led to the dimethoxypyridine N-oxide (X). Rearrangement of the N-oxide group of (X) in hot acetic anhydride produced the acetoxymethyl pyridine (XI). After basic hydrolysis of the acetate ester (XI), the resultant hydroxymethyl pyridine (XII) was chlorinated by SOCl2, yielding chloride (XIII). Condensation between mercapto benzimidazole (V) and the chloromethyl pyridine (XIII) in ethanolic NaOH led to the sulfide adduct (XIV). This was finally oxidized to the desired sulfoxide by using meta-chloroperbenzoic acid in CH2Cl2. The oxidation of sulfide (XIV) has also been performed employing sodium perborate, sodium percarbonate in the presence of ammonium molybdate, or tert-butyl hydroperoxide in the presence of vanadyl acetylacetonate.

参考文献No.58269
标题:Method for obtaining derivs. of [[pyridyl substd.)methyl]thio]benzimidazol
作者:Coppi, L.; Berenguer Maim? R. (Laboratorios del Dr. Esteve, SA)
来源:ES 2171116; WO 0179194
合成路线图解说明:

3-Methoxy-2-methylpyridine (VII), prepared by methylation of 2-methyl-3-pyridinol (VI), was converted to the N-oxide (VIII) employing peracetic acid. Nitration of the pyridine N-oxide (VIII) with concentrated nitric acid gave the 4-nitro derivative (IX). Subsequent displacement of the nitro group of (IX) by sodium methoxide led to the dimethoxypyridine N-oxide (X). Rearrangement of the N-oxide group of (X) in hot acetic anhydride produced the acetoxymethyl pyridine (XI). After basic hydrolysis of the acetate ester (XI), the resultant hydroxymethyl pyridine (XII) was chlorinated by SOCl2, yielding chloride (XIII). Condensation between mercapto benzimidazole (V) and the chloromethyl pyridine (XIII) in ethanolic NaOH led to the sulfide adduct (XIV). This was finally oxidized to the desired sulfoxide by using meta-chloroperbenzoic acid in CH2Cl2. The oxidation of sulfide (XIV) has also been performed employing sodium perborate, sodium percarbonate in the presence of ammonium molybdate, or tert-butyl hydroperoxide in the presence of vanadyl acetylacetonate.

合成路线图解说明:

In an alternative procedure, the nitropyridine N-oxide (IX) was rearranged to the (mesyloxymethyl)pyridine (XIX) by treatment with methanesulfonic anhydride. Condensation of mesylate (XIX) with mercaptobenzimidazole (V), with concomitant nitro group displacement in the presence of sodium methoxide led to the sulfide precursor (XIV). This was then oxidized to the title sulfoxide employing sodium percarbonate and ammonium molybdate. An analogous synthetic route starting from the chloropyridine N-oxide (XX) provided mesylate (XXI), which was condensed with (V) in the presence of Et3N, leading to the sulfide adduct (XXII). The 4-chloro group of (XXII) was then displaced by sodium methoxide producing the dimethoxypyridine derivative (XIV).

参考文献No.58270
标题:Processes for the production of substd. 2-(2-pyridylmethyl) sulfinyl-1H-benzimidazoles
作者:Mendelovici, M.; Avrutov, I. (Teva Pharmaceutical Industries Ltd.; Teva Pharmaceuticals USA, Inc.)
来源:WO 0262786
合成路线图解说明:

3-Methoxy-2-methylpyridine (VII), prepared by methylation of 2-methyl-3-pyridinol (VI), was converted to the N-oxide (VIII) employing peracetic acid. Nitration of the pyridine N-oxide (VIII) with concentrated nitric acid gave the 4-nitro derivative (IX). Subsequent displacement of the nitro group of (IX) by sodium methoxide led to the dimethoxypyridine N-oxide (X). Rearrangement of the N-oxide group of (X) in hot acetic anhydride produced the acetoxymethyl pyridine (XI). After basic hydrolysis of the acetate ester (XI), the resultant hydroxymethyl pyridine (XII) was chlorinated by SOCl2, yielding chloride (XIII). Condensation between mercapto benzimidazole (V) and the chloromethyl pyridine (XIII) in ethanolic NaOH led to the sulfide adduct (XIV). This was finally oxidized to the desired sulfoxide by using meta-chloroperbenzoic acid in CH2Cl2. The oxidation of sulfide (XIV) has also been performed employing sodium perborate, sodium percarbonate in the presence of ammonium molybdate, or tert-butyl hydroperoxide in the presence of vanadyl acetylacetonate.

参考文献No.58271
标题:Synthesis of pharmaceutically useful pyridine derivs.
作者:Chen, L.; Zoghbi, M. (PDi-Research Laboratories, Inc. )
来源:WO 9850361
合成路线图解说明:

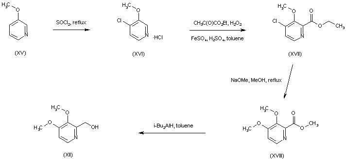
A related method for the preparation of the intermediate 3,4-dimethoxy-2-(hydroxymethyl)pyridine (XII) has been disclosed. 3-Methoxypyridine (XV) was chlorinated to (XVI) by refluxing in SOCl2. Radical carboxylation of pyridine (XVI) was carried out by reaction with ethyl pyruvate in the presence of hydrogen peroxide and iron(II) sulfate. The resultant ethyl 4-chloro-3-methoxypicolinate (XVII) was then converted to the dimethoxypicolinate (XVIII) by treatment with sodium methoxide. Then, ester group reduction in (XVIII) by means of DIBAL provided the target hydroxymethyl pyridine (XII).

参考文献No.58272
标题:A process for the preparation of pantoprazole and intermediates therefor
作者:Palomo Coll, A.
来源:WO 0228852
合成路线图解说明:

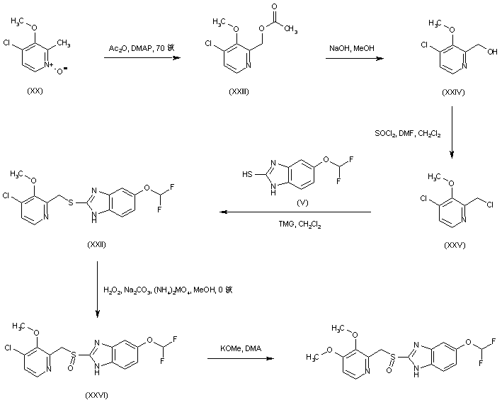
Similarly, rearrangement of the chloropyridine N-oxide (XX) using acetic anhydride produced acetate ester (XXIII), which was further hydrolyzed to the pyridine alcohol (XXIV). The chloromethyl pyridine (XXV), obtained by treatment of alcohol (XXIV) with SOCl2, was condensed with the mercaptobenzimidazole (V) in the presence of tetramethylguanidine producing sulfide (XXII). Conversion of (XXII) to the title compound was then performed by oxidation to sulfoxide (XXVI) employing sodium percarbonate, followed by chloride displacement with potassium methoxide.

参考文献No.176035
标题:(H+,K+)-ATPase inhibiting 2-[(2-pyridylmethyl)sulfinyl]benzimidazoles. 4. A novel series of dimethoxypyridyl-substituted inhibitors with enhanced selectivity. The selection of pantoprazole as a clinical candidate
作者:Sturm, E.; Schaefer, H.; Rainer, G.; Kr黦er, U.; Simon, W.A.; Figala, V.; Senn-Bilfinger, J.; Klemm, K.; Kohl, B.
来源:J Med Chem 1992,35(6),1049
合成路线图解说明:

3-Methoxy-2-methylpyridine (VII), prepared by methylation of 2-methyl-3-pyridinol (VI), was converted to the N-oxide (VIII) employing peracetic acid. Nitration of the pyridine N-oxide (VIII) with concentrated nitric acid gave the 4-nitro derivative (IX). Subsequent displacement of the nitro group of (IX) by sodium methoxide led to the dimethoxypyridine N-oxide (X). Rearrangement of the N-oxide group of (X) in hot acetic anhydride produced the acetoxymethyl pyridine (XI). After basic hydrolysis of the acetate ester (XI), the resultant hydroxymethyl pyridine (XII) was chlorinated by SOCl2, yielding chloride (XIII). Condensation between mercapto benzimidazole (V) and the chloromethyl pyridine (XIII) in ethanolic NaOH led to the sulfide adduct (XIV). This was finally oxidized to the desired sulfoxide by using meta-chloroperbenzoic acid in CH2Cl2. The oxidation of sulfide (XIV) has also been performed employing sodium perborate, sodium percarbonate in the presence of ammonium molybdate, or tert-butyl hydroperoxide in the presence of vanadyl acetylacetonate.

合成路线图解说明:

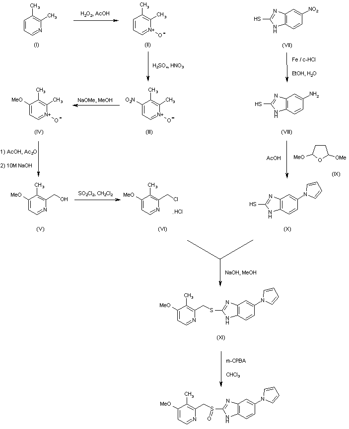
The synthesis of IY-81149 can be obtained according to Scheme 22875502a. The oxidation of 2,3-lutidine (I) with hydrogen peroxide in acetic acid affords 2,3-dimethylpyridine-N-oxide (II), which is treated with sulfuric acid and nitric acid to give the corresponding nitro compound (III). The treatment of (III) with NaOH in methanol gives 2,3-dimethyl-4-methoxypyridine-N-oxide (IV), which is reacted with acetic acid and acetic anhydride and oxidized in refluxing NaOH, yielding 3-methyl-4-methoxypyridine-2-methanol (V). The chlorination of (V) with thionylchloride in CH2Cl2 affords 3-methyl-4-methoxy-2-chloromethylpyridine (VI). The reaction of 2-mercapto-5-nitrobenzimidazole (VII) with iron and concentrated HCl in refluxing ethanol and water gives monoamine (VIII), which by condensation with 2,5-dimethoxytetrahydrofuran (IX) in acetic acid yields 2-mercapto-5-(1-pyrrolyl)benzimidazole (X). The condensation of (VI) with (X) by means of NaOH in methanol gives 2-[(4-methoxy-3-methyl-2-pyridinyl)methylsulfanyl]-5-(1H-pyrrol-1-yl)-1H-benzimidazole (XI), which is finally treated with m-chloroperoxybenzoic acid (m-CPBA) in chloroform.

参考文献No.178844
标题:The synthesis of [14C]pantoprazole - SK&F 96022Z - An H+/K+ ATP inhibitor
作者:Saunders, D.; Lawrie, K.W.M.; Crowe, A.M.; Johnston, C.E.A.
来源:J Label Compd Radiopharm 1992,31(5),409
合成路线图解说明:

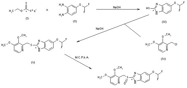
A new synthesis of [14C]-labeled pantoprazole has been described: The cyclization of potassium [14C]-ethylxanthate (I) with the diaminobenzene (II) by means of NaOH gives the imidazole (III), which is condensed with 2-(chloromethyl)-3,4-dimethoxypyridine (IV) by means of NaOH in ethanol to afford the sulfide (V). Finally, this compound is oxidized with m-chloroperbenzoic acid (mcpba) in dichloromethane.

合成路线图解说明:

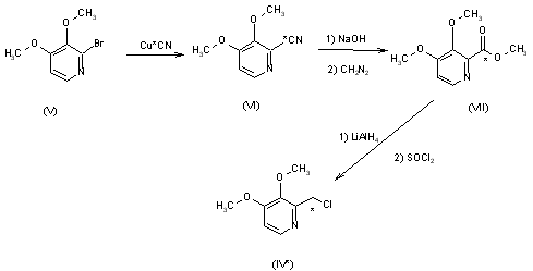
Using [14C]-labeled (IV) in the preceding synthesis, pantoprazole labeled in the methylene was obtained. Intermediate (IV) labeled in the methylene attached to the pyridine ring can be prepared as follows: The reaction of 2-bromo-3,4-dimethoxypyridine (V) with [14C]-labeled CuCN gives 3,4-dimethoxypyridine-2-carbonitrile (VI), which is hydrolyzed with NaOH and methylated with diazomethane to the methyl ester (VII). Finally, this compound is reduced with LiAlH4 to the corresponding alcohol and treated with SOCl2 to give the chloromethylpyridine (IV*) with the [14C] label. Then this compound is condensed with benzimidazole (III) as usual.

参考文献No.806180
标题:An improved and single-pot process for the production of pantoprazole substantially free from sulfone impurity
作者:Govindan, S.; Kolla, N.K.; Maddipatla, M.; Mathad, V.T.; Sajja, E.; Sundaram, V.
来源:Org Process Res Dev 2004,8(2),266
合成路线图解说明:

3-Methoxy-2-methylpyridine (VII), prepared by methylation of 2-methyl-3-pyridinol (VI), was converted to the N-oxide (VIII) employing peracetic acid. Nitration of the pyridine N-oxide (VIII) with concentrated nitric acid gave the 4-nitro derivative (IX). Subsequent displacement of the nitro group of (IX) by sodium methoxide led to the dimethoxypyridine N-oxide (X). Rearrangement of the N-oxide group of (X) in hot acetic anhydride produced the acetoxymethyl pyridine (XI). After basic hydrolysis of the acetate ester (XI), the resultant hydroxymethyl pyridine (XII) was chlorinated by SOCl2, yielding chloride (XIII). Condensation between mercapto benzimidazole (V) and the chloromethyl pyridine (XIII) in ethanolic NaOH led to the sulfide adduct (XIV). This was finally oxidized to the desired sulfoxide by using meta-chloroperbenzoic acid in CH2Cl2. The oxidation of sulfide (XIV) has also been performed employing sodium perborate, sodium percarbonate in the presence of ammonium molybdate, or tert-butyl hydroperoxide in the presence of vanadyl acetylacetonate.

Drug Information Express,Drug R&D,Chemical Database,Patent Search.
Copyright © 2006-2026 Drug Future. All rights reserved.Contact Us