【药物名称】Watanidipine hydrochloride, Vatanidipine hydrochloride, GJ-0956, AE0047, Calbren
化学结构式(Chemical Structure):
参考文献No.900
标题:Use of dihydropyridines in cardiotonic pharmaceutical compsns
作者:(Welfide Corporation)
来源:EP 0109039; US 4543354
合成路线图解说明:

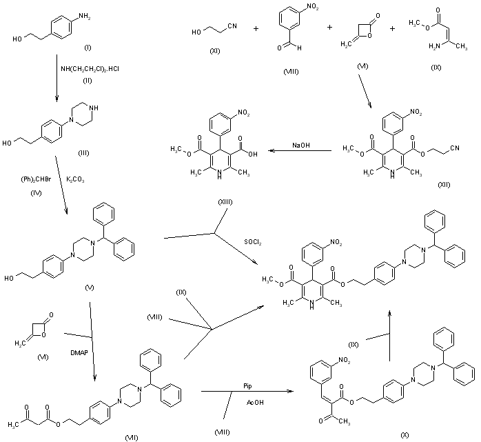
Reaction of 2-(4-aminophenyl)ethanol (I) with bis(2-chloroethyl)amine hydrochloride (II) in butanol gives 2-[4-(1-piperazinyl)phenyl]ethanol (III), which is alkylated with diphenylbromomethane (IV) and potassium carbonate in dimethyl formamide to afford 2-[4-[4-(diphenylmethyl)-1-piperazinyl]phenyl]ethanol (V). Treatment of (V) with diketene (VI) in the presence of 4-dimethylaminopyridine in tetrahydrofuran yields 2-[4-[4-(diphenylmethyl)-1-piperazinyl]phenyl]ethyl acetoacetate (VII), which is finally condensed with 3-nitrobenzaldehyde (VIII) and methyl 3-aminocrotonate (IX) in isopropanol (1-5). This last condensation can be performed in two steps by reaction of compound (VII) with compound (VIII) in the presence of piperidine and acetic acid in benzene to give 2-[4-[4-(diphenylmethyl)-1-piperazinyl]phenyl]ethyl 2-(3-nitrobenzylidene)acetoacetate (X), which is finally treated with (IX) in isopropanol. An alternative procedure involves condensation of 3-nitrobenzaldehyde (VIII), diketene (VI), methyl 3-aminocrotonate (IX) and 3-hydroxypropionitrile (XI) in isopropanol to give 2,6-dimethyl-4-(3-nitrophenyl)-1,4-dihydropyridine-3,5-dicarboxylic acid 2-cyanoethyl ethyl diester (XII), which is hydrolyzed with sodium hydroxide to 2,6-dimethyl-4-(3-nitrophenyl)-1,4-dihydropyridine-3,5-dicarboxylic acid monomethyl ester (XIII). Compound (XIII) is finally esterified with compound (V) in a mixture of dimethylformamide and chloroform.

参考文献No.7773
标题:Dihydropyridine derivs. and pharmaceutical compsns. Thereof
作者:Ashimori, A.; Ono, T.; Inoue, Y.; Fukaya, C. (Welfide Corporation)
来源:EP 0257616; JP 1988099042; JP 1988225356; US 4886819
合成路线图解说明:

Reaction of 2-(4-aminophenyl)ethanol (I) with bis(2-chloroethyl)amine hydrochloride (II) in butanol gives 2-[4-(1-piperazinyl)phenyl]ethanol (III), which is alkylated with diphenylbromomethane (IV) and potassium carbonate in dimethyl formamide to afford 2-[4-[4-(diphenylmethyl)-1-piperazinyl]phenyl]ethanol (V). Treatment of (V) with diketene (VI) in the presence of 4-dimethylaminopyridine in tetrahydrofuran yields 2-[4-[4-(diphenylmethyl)-1-piperazinyl]phenyl]ethyl acetoacetate (VII), which is finally condensed with 3-nitrobenzaldehyde (VIII) and methyl 3-aminocrotonate (IX) in isopropanol (1-5). This last condensation can be performed in two steps by reaction of compound (VII) with compound (VIII) in the presence of piperidine and acetic acid in benzene to give 2-[4-[4-(diphenylmethyl)-1-piperazinyl]phenyl]ethyl 2-(3-nitrobenzylidene)acetoacetate (X), which is finally treated with (IX) in isopropanol. An alternative procedure involves condensation of 3-nitrobenzaldehyde (VIII), diketene (VI), methyl 3-aminocrotonate (IX) and 3-hydroxypropionitrile (XI) in isopropanol to give 2,6-dimethyl-4-(3-nitrophenyl)-1,4-dihydropyridine-3,5-dicarboxylic acid 2-cyanoethyl ethyl diester (XII), which is hydrolyzed with sodium hydroxide to 2,6-dimethyl-4-(3-nitrophenyl)-1,4-dihydropyridine-3,5-dicarboxylic acid monomethyl ester (XIII). Compound (XIII) is finally esterified with compound (V) in a mixture of dimethylformamide and chloroform.

参考文献No.12896
标题:Dihydropyridine derivs. for the treatment of angiospasm
作者:Kido, H.; Uchida, T.; Fukaya, C.; Yokoyama, K.; Uchida, Y. (Welfide Corporation)
来源:EP 0379737; JP 1990180826
合成路线图解说明:

Reaction of 2-(4-aminophenyl)ethanol (I) with bis(2-chloroethyl)amine hydrochloride (II) in butanol gives 2-[4-(1-piperazinyl)phenyl]ethanol (III), which is alkylated with diphenylbromomethane (IV) and potassium carbonate in dimethyl formamide to afford 2-[4-[4-(diphenylmethyl)-1-piperazinyl]phenyl]ethanol (V). Treatment of (V) with diketene (VI) in the presence of 4-dimethylaminopyridine in tetrahydrofuran yields 2-[4-[4-(diphenylmethyl)-1-piperazinyl]phenyl]ethyl acetoacetate (VII), which is finally condensed with 3-nitrobenzaldehyde (VIII) and methyl 3-aminocrotonate (IX) in isopropanol (1-5). This last condensation can be performed in two steps by reaction of compound (VII) with compound (VIII) in the presence of piperidine and acetic acid in benzene to give 2-[4-[4-(diphenylmethyl)-1-piperazinyl]phenyl]ethyl 2-(3-nitrobenzylidene)acetoacetate (X), which is finally treated with (IX) in isopropanol. An alternative procedure involves condensation of 3-nitrobenzaldehyde (VIII), diketene (VI), methyl 3-aminocrotonate (IX) and 3-hydroxypropionitrile (XI) in isopropanol to give 2,6-dimethyl-4-(3-nitrophenyl)-1,4-dihydropyridine-3,5-dicarboxylic acid 2-cyanoethyl ethyl diester (XII), which is hydrolyzed with sodium hydroxide to 2,6-dimethyl-4-(3-nitrophenyl)-1,4-dihydropyridine-3,5-dicarboxylic acid monomethyl ester (XIII). Compound (XIII) is finally esterified with compound (V) in a mixture of dimethylformamide and chloroform.

参考文献No.139893
标题:Synthesis and pharmacological effects of optically active 2-[4-(4-benzhydryl-1-piperazinyl)phenyl]ethyl methyl 1,4-dihydro-2,6-dimethyl-4-(3-nitrophenyl)-3,5-pyridinedicrboxylate hydrochloride
作者:Ohe, K.; Tanaka, M.; Yokoyama, K.; Uchida, T.; Fukaya, C.; Watanabe, M.; Ohtaki, Y.; Ashimori, A.; Kagitani, M.
来源:Chem Pharm Bull 1991,39(1),108-11
合成路线图解说明:

Reaction of 2-(4-aminophenyl)ethanol (I) with bis(2-chloroethyl)amine hydrochloride (II) in butanol gives 2-[4-(1-piperazinyl)phenyl]ethanol (III), which is alkylated with diphenylbromomethane (IV) and potassium carbonate in dimethyl formamide to afford 2-[4-[4-(diphenylmethyl)-1-piperazinyl]phenyl]ethanol (V). Treatment of (V) with diketene (VI) in the presence of 4-dimethylaminopyridine in tetrahydrofuran yields 2-[4-[4-(diphenylmethyl)-1-piperazinyl]phenyl]ethyl acetoacetate (VII), which is finally condensed with 3-nitrobenzaldehyde (VIII) and methyl 3-aminocrotonate (IX) in isopropanol (1-5). This last condensation can be performed in two steps by reaction of compound (VII) with compound (VIII) in the presence of piperidine and acetic acid in benzene to give 2-[4-[4-(diphenylmethyl)-1-piperazinyl]phenyl]ethyl 2-(3-nitrobenzylidene)acetoacetate (X), which is finally treated with (IX) in isopropanol. An alternative procedure involves condensation of 3-nitrobenzaldehyde (VIII), diketene (VI), methyl 3-aminocrotonate (IX) and 3-hydroxypropionitrile (XI) in isopropanol to give 2,6-dimethyl-4-(3-nitrophenyl)-1,4-dihydropyridine-3,5-dicarboxylic acid 2-cyanoethyl ethyl diester (XII), which is hydrolyzed with sodium hydroxide to 2,6-dimethyl-4-(3-nitrophenyl)-1,4-dihydropyridine-3,5-dicarboxylic acid monomethyl ester (XIII). Compound (XIII) is finally esterified with compound (V) in a mixture of dimethylformamide and chloroform.

参考文献No.140045
标题:Novel 1,4-dihydropyridine calcium antagonists. II. Synthesis and antihypertensive activity of 3-[4-(substituted amino)phenylalkyl]ester derivatives
作者:Ono, T.; Ashimori, A.; Inoue, Y.
来源:Chem Pharm Bull 1991,39(1),91-9
合成路线图解说明:

Reaction of 2-(4-aminophenyl)ethanol (I) with bis(2-chloroethyl)amine hydrochloride (II) in butanol gives 2-[4-(1-piperazinyl)phenyl]ethanol (III), which is alkylated with diphenylbromomethane (IV) and potassium carbonate in dimethyl formamide to afford 2-[4-[4-(diphenylmethyl)-1-piperazinyl]phenyl]ethanol (V). Treatment of (V) with diketene (VI) in the presence of 4-dimethylaminopyridine in tetrahydrofuran yields 2-[4-[4-(diphenylmethyl)-1-piperazinyl]phenyl]ethyl acetoacetate (VII), which is finally condensed with 3-nitrobenzaldehyde (VIII) and methyl 3-aminocrotonate (IX) in isopropanol (1-5). This last condensation can be performed in two steps by reaction of compound (VII) with compound (VIII) in the presence of piperidine and acetic acid in benzene to give 2-[4-[4-(diphenylmethyl)-1-piperazinyl]phenyl]ethyl 2-(3-nitrobenzylidene)acetoacetate (X), which is finally treated with (IX) in isopropanol. An alternative procedure involves condensation of 3-nitrobenzaldehyde (VIII), diketene (VI), methyl 3-aminocrotonate (IX) and 3-hydroxypropionitrile (XI) in isopropanol to give 2,6-dimethyl-4-(3-nitrophenyl)-1,4-dihydropyridine-3,5-dicarboxylic acid 2-cyanoethyl ethyl diester (XII), which is hydrolyzed with sodium hydroxide to 2,6-dimethyl-4-(3-nitrophenyl)-1,4-dihydropyridine-3,5-dicarboxylic acid monomethyl ester (XIII). Compound (XIII) is finally esterified with compound (V) in a mixture of dimethylformamide and chloroform.

参考文献No.257007
标题:AE0047
作者:Casta馿r, J.; Mealy, N.; Prous, J.
来源:Drugs Fut 1994,19(7),627
合成路线图解说明:

Reaction of 2-(4-aminophenyl)ethanol (I) with bis(2-chloroethyl)amine hydrochloride (II) in butanol gives 2-[4-(1-piperazinyl)phenyl]ethanol (III), which is alkylated with diphenylbromomethane (IV) and potassium carbonate in dimethyl formamide to afford 2-[4-[4-(diphenylmethyl)-1-piperazinyl]phenyl]ethanol (V). Treatment of (V) with diketene (VI) in the presence of 4-dimethylaminopyridine in tetrahydrofuran yields 2-[4-[4-(diphenylmethyl)-1-piperazinyl]phenyl]ethyl acetoacetate (VII), which is finally condensed with 3-nitrobenzaldehyde (VIII) and methyl 3-aminocrotonate (IX) in isopropanol (1-5). This last condensation can be performed in two steps by reaction of compound (VII) with compound (VIII) in the presence of piperidine and acetic acid in benzene to give 2-[4-[4-(diphenylmethyl)-1-piperazinyl]phenyl]ethyl 2-(3-nitrobenzylidene)acetoacetate (X), which is finally treated with (IX) in isopropanol. An alternative procedure involves condensation of 3-nitrobenzaldehyde (VIII), diketene (VI), methyl 3-aminocrotonate (IX) and 3-hydroxypropionitrile (XI) in isopropanol to give 2,6-dimethyl-4-(3-nitrophenyl)-1,4-dihydropyridine-3,5-dicarboxylic acid 2-cyanoethyl ethyl diester (XII), which is hydrolyzed with sodium hydroxide to 2,6-dimethyl-4-(3-nitrophenyl)-1,4-dihydropyridine-3,5-dicarboxylic acid monomethyl ester (XIII). Compound (XIII) is finally esterified with compound (V) in a mixture of dimethylformamide and chloroform.

Drug Information Express,Drug R&D,Chemical Database,Patent Search.
Copyright © 2006-2026 Drug Future. All rights reserved.Contact Us