【药物名称】Phaseolinone
化学结构式(Chemical Structure):
参考文献No.803836
标题:Synthesis of oxygenated morphilanes, gigantone phomenone and phaseolinone, phytotoxins from pathogenic fungi
作者:Kitahara, T.; Kurata, H.; Mori, K.; Kiyoto, H.
来源:Tetrahedron 1991,1649-54
合成路线图解说明:

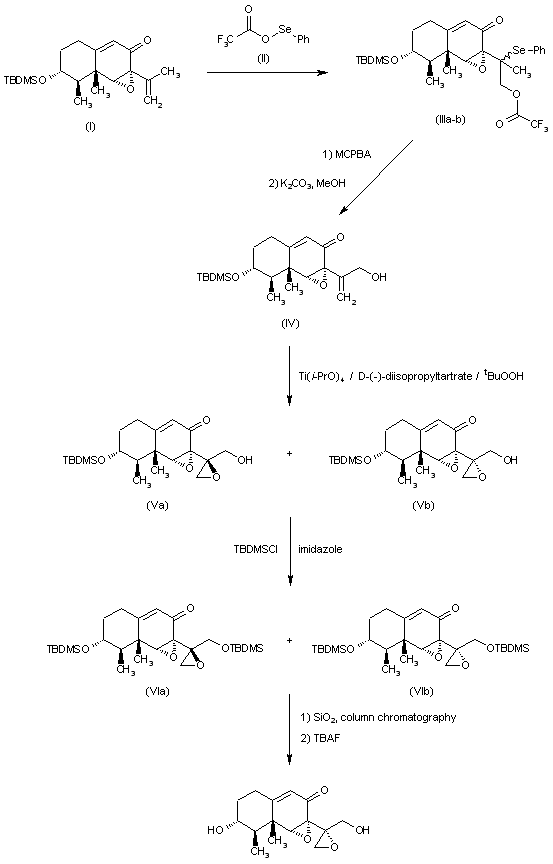
The reaction of tert-butyldimethylsilyloxy-sporogen-AOI (I) with phenylselenyl trifluoroacetate (II) gives the adduct (IIIa-b), which is treated first with MCPBA and then with K2CO3 in methanol to yield compound (IV). The Sharpless asymmetric epoxidation of (IV) with D-(-)-diisopropyl tartrate, Ti(OiPr)4 and tBu-OOH affords the mixture of diepoxides (Va)+(Vb), which is silylated with TBDMSCl and imidazole to the disilylated mixture of diepoxides (VIa)+(VIb). Finally this mixture is separated by column chromatography, and the desired diastereomer submitted to desilylation with TBAF to furnish the target compound.

参考文献No.803837
标题:Antileishmanial agents
作者:Bhadra, R.
来源:Drugs Fut 1993,18(5),451
合成路线图解说明:

The reaction of tert-butyldimethylsilyloxy-sporogen-AOI (I) with phenylselenyl trifluoroacetate (II) gives the adduct (IIIa-b), which is treated first with MCPBA and then with K2CO3 in methanol to yield compound (IV). The Sharpless asymmetric epoxidation of (IV) with D-(-)-diisopropyl tartrate, Ti(OiPr)4 and tBu-OOH affords the mixture of diepoxides (Va)+(Vb), which is silylated with TBDMSCl and imidazole to the disilylated mixture of diepoxides (VIa)+(VIb). Finally this mixture is separated by column chromatography, and the desired diastereomer submitted to desilylation with TBAF to furnish the target compound.

Drug Information Express,Drug R&D,Chemical Database,Patent Search.
Copyright © 2006-2026 Drug Future. All rights reserved.Contact Us