【药物名称】BN-50739
化学结构式(Chemical Structure):
参考文献No.14136
标题:Thieno-triazolo-diazepine derivs. and process for their preparation
作者:Braquet, P.; Esanu, A.; Laurent, J.-P.; Pommier, J. (SCRAS (Societ?de Conseils de Recherches et d'Applications Scientifiques))
来源:BE 1004122; CH 681009; DE 4015137; FR 2646774; FR 2646851; GB 2231330; JP 1991005484; US 5049559
合成路线图解说明:

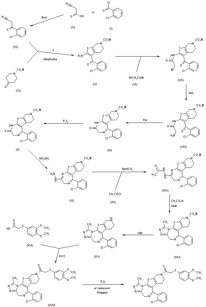
The condensation of 2-chlorobenzoyl chloride (I) with cyanacetic acid (II) by means of butyllithium in THF gives 2-(2-chlorobenzoyl)acetonitrile (III), which is cyclized with N-(ethoxycarbonyl)piperidin-4-one (IV) by means of S and morpholine in refluxing methanol yielding the bicyclic ethyl ester (V). The acylation of (V) with bromoacetyl bromide (VI) in chloroform affords the corresponding 2-(bromoacetamido) derivative (VII), which by reaction with dry ammonia in THF is converted into the 2-glycinamido derivative (VIII). The cyclization of (VIII) in refluxing pyridine gives the tricyclic ethyl ester (IX), which by reaction with P2S5 in refluxing pyridine is converted into the corresponding thioketone (X). The reaction of (X) with hydrazine in methanol yields the 2-hydrazino derivative (XI), which is acylated with acetyl chloride (XII) and NaHCO3 in THF affording the 2-(acetylhydrazino) derivative (XIII). The cyclization of (XIII) in refluxing acetic acid gives the tetracyclic ethyl ester (XIV), which is decarboxylated with 30% HBr yielding the tetracyclic precursor (XV). The acylation of (XV) with 2-(3,4-dimethoxyphenylthio)acetic acid (XVI) by means of dicyclohexylcarbodiimide (DCC) in DMF affords the acylated compound (XVII), which is finally treated with P2S5 or Lawesson's reagent.

参考文献No.137203
标题:BN 50739
作者:Braquet,P.; Casta馿r, J.; Duverger, D.; Koltai, M.; Spinnewyn, B.; Pirotzky, E.; Esanu, A.
来源:Drugs Fut 1991,16(5),413
合成路线图解说明:

The condensation of 2-chlorobenzoyl chloride (I) with cyanacetic acid (II) by means of butyllithium in THF gives 2-(2-chlorobenzoyl)acetonitrile (III), which is cyclized with N-(ethoxycarbonyl)piperidin-4-one (IV) by means of S and morpholine in refluxing methanol yielding the bicyclic ethyl ester (V). The acylation of (V) with bromoacetyl bromide (VI) in chloroform affords the corresponding 2-(bromoacetamido) derivative (VII), which by reaction with dry ammonia in THF is converted into the 2-glycinamido derivative (VIII). The cyclization of (VIII) in refluxing pyridine gives the tricyclic ethyl ester (IX), which by reaction with P2S5 in refluxing pyridine is converted into the corresponding thioketone (X). The reaction of (X) with hydrazine in methanol yields the 2-hydrazino derivative (XI), which is acylated with acetyl chloride (XII) and NaHCO3 in THF affording the 2-(acetylhydrazino) derivative (XIII). The cyclization of (XIII) in refluxing acetic acid gives the tetracyclic ethyl ester (XIV), which is decarboxylated with 30% HBr yielding the tetracyclic precursor (XV). The acylation of (XV) with 2-(3,4-dimethoxyphenylthio)acetic acid (XVI) by means of dicyclohexylcarbodiimide (DCC) in DMF affords the acylated compound (XVII), which is finally treated with P2S5 or Lawesson's reagent.

Drug Information Express,Drug R&D,Chemical Database,Patent Search.
Copyright © 2006-2026 Drug Future. All rights reserved.Contact Us