【药物名称】Pagoclone, CI-1043, RP-59037(racemate), RP-62955, IP-456
化学结构式(Chemical Structure):
参考文献No.8442
标题:Isoindolinone derivs.
作者:Bourzat, J.-D.; Cotrel, C.; Roussel, G.; Capet, M.; Labaudini鑢e, R.; Pitchen, P. (Aventis SA)
来源:AU 8781911; EP 0274930; FR 2607503; JP 1988154681; US 4960779
合成路线图解说明:

Condensation of 7-hydroxy-1,8-naphthyridin-2-amine (I) with phthalic anhydride (II) in refluxing acetic acid gives N-(7-hydroxy-1,8-naphthyridin-2-yl)phthalimide (III), which is treated with refluxing POCl3 to yield the 7-chloro derivative (IV). Reduction of compound (IV) with KBH4 in dioxane affords 2-(7-chloro-1,8-naphthyridin-2-yl)-3-hydroxyisoindolin-1-one (V), which is condensed with 5-methyl-2-hexanone (VI) by means of NaH in DMF to give (?-2-(7-chloro-1,8-naphthyridin-2-yl)-3-(5-methyl-2-oxohexyl)isoindolin-1-one (VII) (racemic pagoclone). The treatment of (VII) with NaOH in dioxane/water yields the racemic benzoic acid (VIII). Optical resolution of racemic (VIII) by means of (+)-ephedrine or cinchonine affords the (+)-isomer (IX), which is finally cyclized to the chiral (+)-indolinone derivative pagoclone by means of SOCl2 and imidazole in dichloromethane.

合成路线图解说明:

The isoindolinone (VII) (racemic pagoclone) can also be obtained by reaction of isoindolinone (V) with SOCl2 in DMF to provide 3-chloro-2-(7-chloro-1,8-naphthyridin-2-yl)isoindolin-1-one (X), which is condensed with 3-oxo-6-methylheptanoic acid ethyl ester (XI) by means of NaH in DMF to yield 2-[2-(7-chloro-1,8-naphthyridin-2-yl)-3-oxoisoindolin-1-yl-6-methyl-3-oxoheptanoic acid ethyl ester (XII). Finally, this compound is decarboxylated to the indolinone (VII) by means of LiCl in refluxing DMSO/water. The racemic benzoic acid (VIII) can also be obtained by hydrolysis of the heptanoic ester (XII) with concentrated sulfuric acid to give the corresponding free acid (XIII), which is finally decarboxylated and hydrolyzed by means of NaOH in water.

参考文献No.19805
标题:Dextrorotatory isomer of a deriv. of 2-amino naphthyridine and its preparation
作者:David-Comte, M.-T. (Aventis Pharma SA)
来源:EP 0522971; FR 2678933
合成路线图解说明:

Condensation of 7-hydroxy-1,8-naphthyridin-2-amine (I) with phthalic anhydride (II) in refluxing acetic acid gives N-(7-hydroxy-1,8-naphthyridin-2-yl)phthalimide (III), which is treated with refluxing POCl3 to yield the 7-chloro derivative (IV). Reduction of compound (IV) with KBH4 in dioxane affords 2-(7-chloro-1,8-naphthyridin-2-yl)-3-hydroxyisoindolin-1-one (V), which is condensed with 5-methyl-2-hexanone (VI) by means of NaH in DMF to give (?-2-(7-chloro-1,8-naphthyridin-2-yl)-3-(5-methyl-2-oxohexyl)isoindolin-1-one (VII) (racemic pagoclone). The treatment of (VII) with NaOH in dioxane/water yields the racemic benzoic acid (VIII). Optical resolution of racemic (VIII) by means of (+)-ephedrine or cinchonine affords the (+)-isomer (IX), which is finally cyclized to the chiral (+)-indolinone derivative pagoclone by means of SOCl2 and imidazole in dichloromethane.

合成路线图解说明:

The isoindolinone (VII) (racemic pagoclone) can also be obtained by reaction of isoindolinone (V) with SOCl2 in DMF to provide 3-chloro-2-(7-chloro-1,8-naphthyridin-2-yl)isoindolin-1-one (X), which is condensed with 3-oxo-6-methylheptanoic acid ethyl ester (XI) by means of NaH in DMF to yield 2-[2-(7-chloro-1,8-naphthyridin-2-yl)-3-oxoisoindolin-1-yl-6-methyl-3-oxoheptanoic acid ethyl ester (XII). Finally, this compound is decarboxylated to the indolinone (VII) by means of LiCl in refluxing DMSO/water. The racemic benzoic acid (VIII) can also be obtained by hydrolysis of the heptanoic ester (XII) with concentrated sulfuric acid to give the corresponding free acid (XIII), which is finally decarboxylated and hydrolyzed by means of NaOH in water.

参考文献No.19848
标题:Novel 2-aminonaphthyridine deriv., its preparation and its use
作者:David-Comte, M.-T.; Roussel, G. (Aventis Pharma SA)
来源:EP 0522969; FR 2678931
合成路线图解说明:

Condensation of 7-hydroxy-1,8-naphthyridin-2-amine (I) with phthalic anhydride (II) in refluxing acetic acid gives N-(7-hydroxy-1,8-naphthyridin-2-yl)phthalimide (III), which is treated with refluxing POCl3 to yield the 7-chloro derivative (IV). Reduction of compound (IV) with KBH4 in dioxane affords 2-(7-chloro-1,8-naphthyridin-2-yl)-3-hydroxyisoindolin-1-one (V), which is condensed with 5-methyl-2-hexanone (VI) by means of NaH in DMF to give (?-2-(7-chloro-1,8-naphthyridin-2-yl)-3-(5-methyl-2-oxohexyl)isoindolin-1-one (VII) (racemic pagoclone). The treatment of (VII) with NaOH in dioxane/water yields the racemic benzoic acid (VIII). Optical resolution of racemic (VIII) by means of (+)-ephedrine or cinchonine affords the (+)-isomer (IX), which is finally cyclized to the chiral (+)-indolinone derivative pagoclone by means of SOCl2 and imidazole in dichloromethane.

合成路线图解说明:

The isoindolinone (VII) (racemic pagoclone) can also be obtained by reaction of isoindolinone (V) with SOCl2 in DMF to provide 3-chloro-2-(7-chloro-1,8-naphthyridin-2-yl)isoindolin-1-one (X), which is condensed with 3-oxo-6-methylheptanoic acid ethyl ester (XI) by means of NaH in DMF to yield 2-[2-(7-chloro-1,8-naphthyridin-2-yl)-3-oxoisoindolin-1-yl-6-methyl-3-oxoheptanoic acid ethyl ester (XII). Finally, this compound is decarboxylated to the indolinone (VII) by means of LiCl in refluxing DMSO/water. The racemic benzoic acid (VIII) can also be obtained by hydrolysis of the heptanoic ester (XII) with concentrated sulfuric acid to give the corresponding free acid (XIII), which is finally decarboxylated and hydrolyzed by means of NaOH in water.

参考文献No.32663
标题:Process for the preparation of a dextrorotatory isomer of an isoindolinone deriv.
作者:David-Comte, M.-T. (Aventis Pharma SA)
来源:EP 0522972; FR 2678934
合成路线图解说明:

Condensation of 7-hydroxy-1,8-naphthyridin-2-amine (I) with phthalic anhydride (II) in refluxing acetic acid gives N-(7-hydroxy-1,8-naphthyridin-2-yl)phthalimide (III), which is treated with refluxing POCl3 to yield the 7-chloro derivative (IV). Reduction of compound (IV) with KBH4 in dioxane affords 2-(7-chloro-1,8-naphthyridin-2-yl)-3-hydroxyisoindolin-1-one (V), which is condensed with 5-methyl-2-hexanone (VI) by means of NaH in DMF to give (?-2-(7-chloro-1,8-naphthyridin-2-yl)-3-(5-methyl-2-oxohexyl)isoindolin-1-one (VII) (racemic pagoclone). The treatment of (VII) with NaOH in dioxane/water yields the racemic benzoic acid (VIII). Optical resolution of racemic (VIII) by means of (+)-ephedrine or cinchonine affords the (+)-isomer (IX), which is finally cyclized to the chiral (+)-indolinone derivative pagoclone by means of SOCl2 and imidazole in dichloromethane.

参考文献No.32664
标题:Process for the preparation of the optical isomers of 2-aminonaphthyridine derivs.
作者:David-Comte, M.-T. (Aventis Pharma SA)
来源:EP 0522970; FR 2678932
合成路线图解说明:

Condensation of 7-hydroxy-1,8-naphthyridin-2-amine (I) with phthalic anhydride (II) in refluxing acetic acid gives N-(7-hydroxy-1,8-naphthyridin-2-yl)phthalimide (III), which is treated with refluxing POCl3 to yield the 7-chloro derivative (IV). Reduction of compound (IV) with KBH4 in dioxane affords 2-(7-chloro-1,8-naphthyridin-2-yl)-3-hydroxyisoindolin-1-one (V), which is condensed with 5-methyl-2-hexanone (VI) by means of NaH in DMF to give (?-2-(7-chloro-1,8-naphthyridin-2-yl)-3-(5-methyl-2-oxohexyl)isoindolin-1-one (VII) (racemic pagoclone). The treatment of (VII) with NaOH in dioxane/water yields the racemic benzoic acid (VIII). Optical resolution of racemic (VIII) by means of (+)-ephedrine or cinchonine affords the (+)-isomer (IX), which is finally cyclized to the chiral (+)-indolinone derivative pagoclone by means of SOCl2 and imidazole in dichloromethane.

参考文献No.32665
标题:Method for preparing enantiomers of an isoindolinone deriv.
作者:Barreau, M.; Cotrel, C.; Dubroeucq, M.-C.; Manfre, F. (Aventis Pharma SA)
来源:WO 9313098
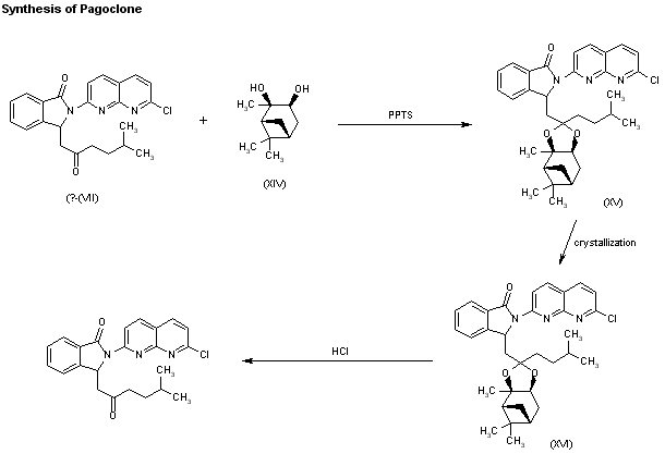
合成路线图解说明:

The optical resolution of racemic pagoclone (VII) can also be performed by reaction with (-)-(1R,2R,3S,5R)-pinanediol (XIV) by means of PPTS in refluxing dichloroethane to give the ketal (XV) as a diastereomeric mixture separated by crystallization. Finally, hydrolysis of the desired diastereomer (XVI) with 12N HCl affords the (+)-enantiomer, pagoclone.

参考文献No.46000
标题:Heterocyclic compounds
作者:Cotrel, C.; Crisan, C.; Jeanmart, C.; Messer, M.N. (Aventis Pharma SA)
来源:BE 0835325; DE 2550111; FR 2313060; FR 2322600; FR 2322601; FR 2322602; GB 1468497; JP 7670776; JP 7733685; JP 7998790; JP 8040671; JP 8051087; US 4220646
合成路线图解说明:

The condensation of 2-amino-7-hydroxy-1,8-naphthyridine (I) with 5,6-dihydro-1,7-dithiin-2,3-dicarboxylic acid anhydride (II) in biphenyl-diphenyl ether at 230 C gives 5,7-dioxo-8-(7-hydroxy-1,8-naphthyridin-2-yl)-2,3,6,7-tetrahydro-5H-1,4-dithiino[2,3-c]pyrrole (III), which by reaction with POCl3 at 100 C is converted to the corresponding 7-chloro derivative (IV). Partial reduction of (IV) with KBH4 in methanol yields 6-(7-chloro-1,8-naphthyridin 2-yl)-5-hydroxy-7-oxo-2,3,6,7-tetrahydro-5H-1,4-dithiino[2,3-c]pyrrole (V), which is condensed with 4-chlorocarbonyl-1-(tert-butoxycarbonyl)piperazin (VI) by means of NaH in DMF affording 5-[(4-tert-butoxycarbonylpiperazin-1-yl)carbonyloxy]-6-(7-chloro-1,8-naphthyndin-2-yl)-7-oxo-2,3,6,7-tetrahydro-5H-1,4-dithiino[2,3-c]pyrrole (VII) Deprotection of (VII) by means of trifluoroacetic acid gives 6-(7-chloro-1,8-naphthyridin-2-yl)-7-oxo-5-[(piperazin-1-yl)carbonyloxy]-2,3,6,7-tetrahydro-5H-1,4-dithino[2,3-c]pyrrole (VIII), which is finally acetylated with propionic acid (IX) by means of dicyclohexylcarbodiimide in methylene chloride. The piperazine derivative (VI) is prepared as follows: The condensation of piperazine (X) with tert-butyl azidoformate (XI) in aqueous HCl gives 1-(tert-butoxycarbonyl)piperazine (XII), which is then condensed with phosgene in anhydrous toluene.

合成路线图解说明:

Condensation of 7-hydroxy-1,8-naphthyridin-2-amine (I) with phthalic anhydride (II) in refluxing acetic acid gives N-(7-hydroxy-1,8-naphthyridin-2-yl)phthalimide (III), which is treated with refluxing POCl3 to yield the 7-chloro derivative (IV). Reduction of compound (IV) with KBH4 in dioxane affords 2-(7-chloro-1,8-naphthyridin-2-yl)-3-hydroxyisoindolin-1-one (V), which is condensed with 5-methyl-2-hexanone (VI) by means of NaH in DMF to give (?-2-(7-chloro-1,8-naphthyridin-2-yl)-3-(5-methyl-2-oxohexyl)isoindolin-1-one (VII) (racemic pagoclone). The treatment of (VII) with NaOH in dioxane/water yields the racemic benzoic acid (VIII). Optical resolution of racemic (VIII) by means of (+)-ephedrine or cinchonine affords the (+)-isomer (IX), which is finally cyclized to the chiral (+)-indolinone derivative pagoclone by means of SOCl2 and imidazole in dichloromethane.

参考文献No.50483
标题:Novel isoindoline derivs., their preparation and compsns. containing them
作者:(Aventis Pharma SA)
来源:FR 2229400
合成路线图解说明:

Condensation of 7-hydroxy-1,8-naphthyridin-2-amine (I) with phthalic anhydride (II) in refluxing acetic acid gives N-(7-hydroxy-1,8-naphthyridin-2-yl)phthalimide (III), which is treated with refluxing POCl3 to yield the 7-chloro derivative (IV). Reduction of compound (IV) with KBH4 in dioxane affords 2-(7-chloro-1,8-naphthyridin-2-yl)-3-hydroxyisoindolin-1-one (V), which is condensed with 5-methyl-2-hexanone (VI) by means of NaH in DMF to give (?-2-(7-chloro-1,8-naphthyridin-2-yl)-3-(5-methyl-2-oxohexyl)isoindolin-1-one (VII) (racemic pagoclone). The treatment of (VII) with NaOH in dioxane/water yields the racemic benzoic acid (VIII). Optical resolution of racemic (VIII) by means of (+)-ephedrine or cinchonine affords the (+)-isomer (IX), which is finally cyclized to the chiral (+)-indolinone derivative pagoclone by means of SOCl2 and imidazole in dichloromethane.

参考文献No.630003
标题:Pagoclone
作者:Silvestre, J.S.; Casta馿r, J.; Leeson, P.A.; Sorbera, L.A.
来源:Drugs Fut 2001,26(7),651
合成路线图解说明:

Condensation of 7-hydroxy-1,8-naphthyridin-2-amine (I) with phthalic anhydride (II) in refluxing acetic acid gives N-(7-hydroxy-1,8-naphthyridin-2-yl)phthalimide (III), which is treated with refluxing POCl3 to yield the 7-chloro derivative (IV). Reduction of compound (IV) with KBH4 in dioxane affords 2-(7-chloro-1,8-naphthyridin-2-yl)-3-hydroxyisoindolin-1-one (V), which is condensed with 5-methyl-2-hexanone (VI) by means of NaH in DMF to give (?-2-(7-chloro-1,8-naphthyridin-2-yl)-3-(5-methyl-2-oxohexyl)isoindolin-1-one (VII) (racemic pagoclone). The treatment of (VII) with NaOH in dioxane/water yields the racemic benzoic acid (VIII). Optical resolution of racemic (VIII) by means of (+)-ephedrine or cinchonine affords the (+)-isomer (IX), which is finally cyclized to the chiral (+)-indolinone derivative pagoclone by means of SOCl2 and imidazole in dichloromethane.

合成路线图解说明:

The isoindolinone (VII) (racemic pagoclone) can also be obtained by reaction of isoindolinone (V) with SOCl2 in DMF to provide 3-chloro-2-(7-chloro-1,8-naphthyridin-2-yl)isoindolin-1-one (X), which is condensed with 3-oxo-6-methylheptanoic acid ethyl ester (XI) by means of NaH in DMF to yield 2-[2-(7-chloro-1,8-naphthyridin-2-yl)-3-oxoisoindolin-1-yl-6-methyl-3-oxoheptanoic acid ethyl ester (XII). Finally, this compound is decarboxylated to the indolinone (VII) by means of LiCl in refluxing DMSO/water. The racemic benzoic acid (VIII) can also be obtained by hydrolysis of the heptanoic ester (XII) with concentrated sulfuric acid to give the corresponding free acid (XIII), which is finally decarboxylated and hydrolyzed by means of NaOH in water.

合成路线图解说明:

The optical resolution of racemic pagoclone (VII) can also be performed by reaction with (-)-(1R,2R,3S,5R)-pinanediol (XIV) by means of PPTS in refluxing dichloroethane to give the ketal (XV) as a diastereomeric mixture separated by crystallization. Finally, hydrolysis of the desired diastereomer (XVI) with 12N HCl affords the (+)-enantiomer, pagoclone.

Drug Information Express,Drug R&D,Chemical Database,Patent Search.
Copyright © 2006-2026 Drug Future. All rights reserved.Contact Us