【药物名称】Xaliproden hydrochloride, SR-57746A, Xaprila
化学结构式(Chemical Structure):
参考文献No.14732
标题:Trifluoromethylphenyltetrahydropyridines with anorexigenic activity, a process for their preparation and compsns
作者:Nisato, D.; Frigerio, M.; Miranda, G.F. (Midy SpA; Sanofi-Synth閘abo )
来源:EP 0101381
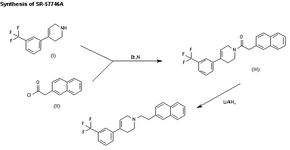
合成路线图解说明:

The condensation of 4-[3-(trifluoromethyl)phenyl]-1,2,3,6-tetrahydropyridine (I) with 2-(2-naphthyl)acetyl chloride (II) by means of triethylamine in dichloromethane gives 1-[2-(2-naphthyl)acetyl]-4-[3-(trifluoromethyl)phenyl]-1,2,3,6 tetrahydropyridine (III), which is finally reduced with LiAlH4 in ethyl ether.

参考文献No.461705
标题:SR-57746A
作者:Casta馿r, J.; Mucke, H.A.M.
来源:Drugs Fut 1998,23(6),616
合成路线图解说明:

The condensation of 4-[3-(trifluoromethyl)phenyl]-1,2,3,6-tetrahydropyridine (I) with 2-(2-naphthyl)acetyl chloride (II) by means of triethylamine in dichloromethane gives 1-[2-(2-naphthyl)acetyl]-4-[3-(trifluoromethyl)phenyl]-1,2,3,6 tetrahydropyridine (III), which is finally reduced with LiAlH4 in ethyl ether.

参考文献No.528823
标题:Synthesis of [trifluoromethyl-[C-14(6)]-phenyl] SR 57746A
作者:Robic, N.; Noel, J.P.
来源:J Label Compd Radiopharm 1999,42(2),109
合成路线图解说明:

A synthesis of [14C]-labeled SR-57746A has been described: The iodination of [14C6]-benzene (I) with nitric acid/I2 gives iodobenzene (II), which is treated with sodium trifluoroacetate and CuI yielding trifluoromethylbenzene (III). The nitration of (III) with sodium nitrate affords 3-(trifluoromethyl)nitrobenzene (IV), which is reduced with Fe/HCl to the corresponding aniline (V). The reaction of (V) with tert-butyl nitrite and CuBr2 provides 3-(trifluoromethyl)bromobenzene (VI), which is treated with Mg in THF affording the corresponding Grignard reagent (VII). The condensation of (VII) with piperidone (VIII) gives the piperidol (IX), which is finally dehydrated in acidic medium. In order to aviod radioactive contamination during the purification of compounds iodobenzene (II) and trifluoromethylbenzene (III) by liquid chromatography, a safer route using less volatile compounds has been developed: The nitration of [14C6]-benzene (I) with nitric acid gives nitrobenzene (X), which is iodinated with IPy2BF4/CF3SO3H yielding 3-iodonitrobenzene (XI). Finally, this compound is trifluoromethylated with CF3SiMe3, CuI and KF to provide 3-(trifluoromethyl)nitrobenzene (IV) already reported.

Drug Information Express,Drug R&D,Chemical Database,Patent Search.
Copyright © 2006-2026 Drug Future. All rights reserved.Contact Us