【药物名称】Disodium cromproxate, 78012
化学结构式(Chemical Structure):
参考文献No.119935
标题:A simplified synthesis of 1,3-bis-(2-carboxychromone-7-oxy)-2-hydroxypropane disodium salt (78012)
作者:Liang, X.; Qi, J.; Lu, Y.
来源:Acta Pharm Sin 1982,17(2),143-5
合成路线图解说明:

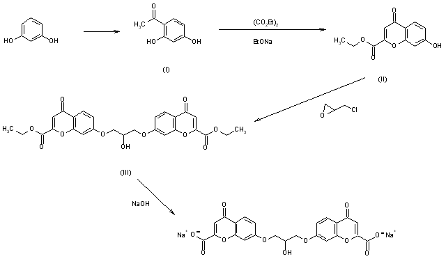
2,4-Dihydroxyacetophenone (I) is formed by the Friedel-Crafts acetylation of resorcinol. This compound is condensed with diethyl oxalate in sodium ethoxide solution, affording (II). Disodium cromproxate (IV) is conveniently prepared from (II) by treatment with epichlorohydrine in aqueous ethanolic alkaline solution. It is recrystallized from hot water.

参考文献No.137763
标题:Disodium Cromproxate
作者:Ruyun, J.
来源:Drugs Fut 1991,16(5),422
合成路线图解说明:

2,4-Dihydroxyacetophenone (I) is formed by the Friedel-Crafts acetylation of resorcinol. This compound is condensed with diethyl oxalate in sodium ethoxide solution, affording (II). Disodium cromproxate (IV) is conveniently prepared from (II) by treatment with epichlorohydrine in aqueous ethanolic alkaline solution. It is recrystallized from hot water.

Drug Information Express,Drug R&D,Chemical Database,Patent Search.
Copyright © 2006-2026 Drug Future. All rights reserved.Contact Us