【药物名称】Pranidipine, OPC-13340, Acalas
化学结构式(Chemical Structure):
参考文献No.1992
标题:Novel dihydropyridine derivs. and process for preparing the same
作者:Tamada, S.; Nagami, K.; Teramoto, S.; Tanaka, T.; Nakagawa, K. (Otsuka Pharmaceutical Co., Ltd.)
来源:EP 0145434; ES 8604516; ES 8701726; ES 8701727; JP 1985120861; JP 1989151557; US 5034395; US 5137889
合成路线图解说明:

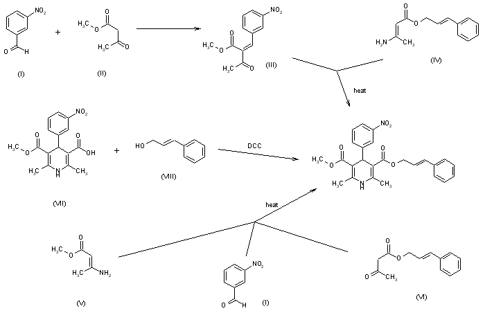
This compound can be obtained by three different ways: 1) The reaction of 3-nitrobenzaldehyde (I) with methyl acetoacetate (II) by means of m-toluidine in methanol gives methyl 2-(3-nitrobenzylidene)acetoacetate (III), which is then cyclized with 3-aminocrotonic acid 3-phenyl-2(E)-propenyl ester (IV) in refluxing isopropanol. 2) By cyclization of methyl 3-aminocrotonate (V) with aldehyde (I) and acetoacetic acid 3-phenyl-2(E)-propenyl ester (VI) in refluxing isopropanol. 3) By esterification of 2,6-dimethyl-4-(3-nitrophenyl)-1,4-dihydropyridine-3,5-dicarboxylic acid monomethyl ester (VII) with 3-phenyl-2(E)-propenyl alcohol (VIII), by means of dicyclohexylcarbodiimide (DCC) in pyridine.

参考文献No.13167
标题:Process for preparing novel dihydropyridine derivs
作者:Nishitani, S.; Minamikawa, J.; Kano, M.; Otsubo, J.; Manabe, Y. (Otsuka Pharmaceutical Co., Ltd.)
来源:EP 0173126
合成路线图解说明:

This compound can be obtained by three different ways: 1) The reaction of 3-nitrobenzaldehyde (I) with methyl acetoacetate (II) by means of m-toluidine in methanol gives methyl 2-(3-nitrobenzylidene)acetoacetate (III), which is then cyclized with 3-aminocrotonic acid 3-phenyl-2(E)-propenyl ester (IV) in refluxing isopropanol. 2) By cyclization of methyl 3-aminocrotonate (V) with aldehyde (I) and acetoacetic acid 3-phenyl-2(E)-propenyl ester (VI) in refluxing isopropanol. 3) By esterification of 2,6-dimethyl-4-(3-nitrophenyl)-1,4-dihydropyridine-3,5-dicarboxylic acid monomethyl ester (VII) with 3-phenyl-2(E)-propenyl alcohol (VIII), by means of dicyclohexylcarbodiimide (DCC) in pyridine.

参考文献No.13171
标题:Dihydropyridine derivs
作者:Tamada, S.; Ei, K.; Teramoto, S.; Tanaka, T.; Nakagawa, T. (Otsuka Pharmaceutical Co., Ltd.)
来源:JP 1986140567
合成路线图解说明:

This compound can be obtained by three different ways: 1) The reaction of 3-nitrobenzaldehyde (I) with methyl acetoacetate (II) by means of m-toluidine in methanol gives methyl 2-(3-nitrobenzylidene)acetoacetate (III), which is then cyclized with 3-aminocrotonic acid 3-phenyl-2(E)-propenyl ester (IV) in refluxing isopropanol. 2) By cyclization of methyl 3-aminocrotonate (V) with aldehyde (I) and acetoacetic acid 3-phenyl-2(E)-propenyl ester (VI) in refluxing isopropanol. 3) By esterification of 2,6-dimethyl-4-(3-nitrophenyl)-1,4-dihydropyridine-3,5-dicarboxylic acid monomethyl ester (VII) with 3-phenyl-2(E)-propenyl alcohol (VIII), by means of dicyclohexylcarbodiimide (DCC) in pyridine.

参考文献No.133133
标题:OPC-13340
作者:Prous, J.; Casta馿r, J.
来源:Drugs Fut 1991,16(2),119
合成路线图解说明:

This compound can be obtained by three different ways: 1) The reaction of 3-nitrobenzaldehyde (I) with methyl acetoacetate (II) by means of m-toluidine in methanol gives methyl 2-(3-nitrobenzylidene)acetoacetate (III), which is then cyclized with 3-aminocrotonic acid 3-phenyl-2(E)-propenyl ester (IV) in refluxing isopropanol. 2) By cyclization of methyl 3-aminocrotonate (V) with aldehyde (I) and acetoacetic acid 3-phenyl-2(E)-propenyl ester (VI) in refluxing isopropanol. 3) By esterification of 2,6-dimethyl-4-(3-nitrophenyl)-1,4-dihydropyridine-3,5-dicarboxylic acid monomethyl ester (VII) with 3-phenyl-2(E)-propenyl alcohol (VIII), by means of dicyclohexylcarbodiimide (DCC) in pyridine.

Drug Information Express,Drug R&D,Chemical Database,Patent Search.
Copyright © 2006-2026 Drug Future. All rights reserved.Contact Us