【药物名称】Losartan potassium, L-158086, MK-0954, E-3340, MK-954, Ex-89(free acid), DuP-753, Covance, Nu-Lotan, Losaprex, Lorzaar, Cozaar
化学结构式(Chemical Structure):
参考文献No.136586
标题:DuP 753
作者:Duncia, J.V.; Carini, D.J.; Chiu, A.T.; Pierce, M.E.; Price, W.A.; Smith, R.D.; Wells, G.J.; Wong, P.C.; Wexler, R.R.; Johnson, A.L.; Timmermans, P.B.M.W.M.
来源:Drugs Fut 1991,16(4),305
合成路线图解说明:

Synthesis of imidazole (V) first entails the conversion of valeronitrile (I) to its imidate ester (II). Subsequent reaction with 1,3-dihydroxyacetone dimer and ammonia leads to imidazole (III). Chlorination with N-chlorosuccinimide yields the 4-chloroimidazole (IV). Oxidation with manganese dioxide finally yields imidazole-5-carboxaldehyde (V).

合成路线图解说明:

The synthesis of the biphenyl tail involves first the conversion of 2-methoxybenzoic acid (VI) into oxazoline (VII), followed by displacement of the methoxy group by 4-tolylmagnesium bromide to yield biphenyloxazoline (VIII). Oxazoline (VIII) may be converted into biphenylnitrile (IX) by reaction with phosphorous oxychloride in pyridine. Reaction of biphenylnitrile (VIII) with tri-n-butyltin azide in refluxing xylenes, followed by destannylation and protection with a triphenylmethyl group, yields triphenylmethyl-protected biphenyltetrazole (X). Benzylic bromination yields the completed tail (XI)

合成路线图解说明:

The compound is assembled by connecting the imidazole head (V) to the biphenyltetrazole tail (XI). The aldehyde (V) undergoes regioselective alkylation with bromide (XI). Subsequent reduction of the aldehyde group in the same pot yields adduct (XII). Deprotection in acid, followed by conversion to the potassium salt, yields DuP-753.

合成路线图解说明:

EXP3174 is obtained from DuP 753 (Entry Number: 162288).

参考文献No.145255
标题:Nonpeptide angiotensin II receptor antagonists: The discovery of a series of N-(biphenylmethyl)imidazoles as potent, orally-active antihypertensives
作者:Carini, D.J.; Duncia, J.V.; Aldrich, P.E.; Chiu, A.T.; Johnson, A.L.; Pierce, M.E.; Santella, J.B.; Wells, G.J.; Wexler, R.R.; Wong, P.C.; Timmermans, P.B.M.W.M.
来源:J Med Chem 1991,34(8),2225-47
合成路线图解说明:

Synthesis of imidazole (V) first entails the conversion of valeronitrile (I) to its imidate ester (II). Subsequent reaction with 1,3-dihydroxyacetone dimer and ammonia leads to imidazole (III). Chlorination with N-chlorosuccinimide yields the 4-chloroimidazole (IV). Oxidation with manganese dioxide finally yields imidazole-5-carboxaldehyde (V).

合成路线图解说明:

The synthesis of the biphenyl tail involves first the conversion of 2-methoxybenzoic acid (VI) into oxazoline (VII), followed by displacement of the methoxy group by 4-tolylmagnesium bromide to yield biphenyloxazoline (VIII). Oxazoline (VIII) may be converted into biphenylnitrile (IX) by reaction with phosphorous oxychloride in pyridine. Reaction of biphenylnitrile (VIII) with tri-n-butyltin azide in refluxing xylenes, followed by destannylation and protection with a triphenylmethyl group, yields triphenylmethyl-protected biphenyltetrazole (X). Benzylic bromination yields the completed tail (XI)

合成路线图解说明:

The compound is assembled by connecting the imidazole head (V) to the biphenyltetrazole tail (XI). The aldehyde (V) undergoes regioselective alkylation with bromide (XI). Subsequent reduction of the aldehyde group in the same pot yields adduct (XII). Deprotection in acid, followed by conversion to the potassium salt, yields DuP-753.

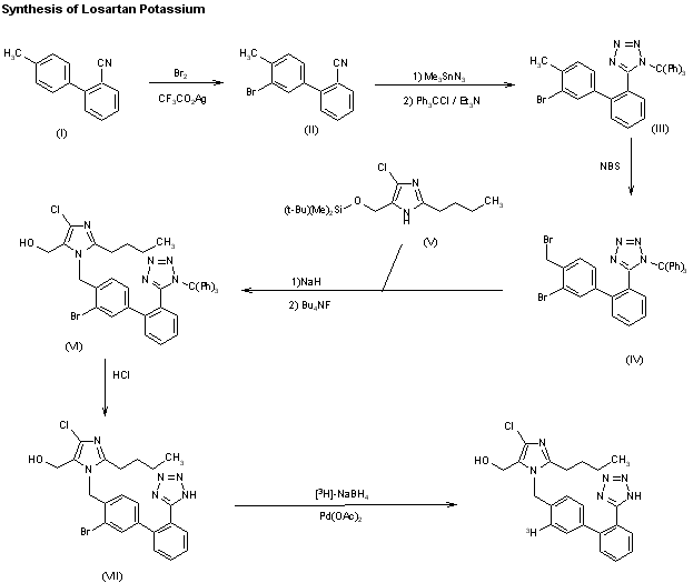
参考文献No.217732
标题:The synthesis of [3H]-losartan, [3H]-L-158,641 and [3H]-L-158,809
作者:Rivero, R.A.; Chen, R.; Chakravarty, P.K.; Rosegay, A.; Greenlee, W.J.; Simpson, R.
来源:Bioorg Med Chem Lett 1993,3(4),557
合成路线图解说明:

A synthesis of [14C]-losartan has been described: The bromination of 4'-methylbiphenyl-2-carbonitrile (I) with Br2 and silver trifluoroacetate in dichloromethane gives 3'-bromo-4'-methylbiphenyl-2-carbonitrile (II), which is treated first with trimethylstannyl azide in refluxing toluene, and then with trityl chloride and triethylamine in hot dichloromethane, yielding 5-(3'-bromo-4'-methylbiphenyl-2-yl)-2-(triphenylmethyl)tetrazole (III). The bromination of (III) with N-bromosuccinimide (NBS) in refluxing carbon tetrachloride affords the corresponding bromomethyl derivative (IV), which is then condensed with 2-butyl-5-(tert-butyldimethylsilyloxymethyl)-4-chloro-1H-imidazole (V) by means of NaH in DMF to give (VI). The deprotection of (VI) with HCl in methanol yields the bromolosartan derivative (VII), which is finally tritiated by debromination with tritiated sodium borohydride and palladium acetate in methanol-THF.

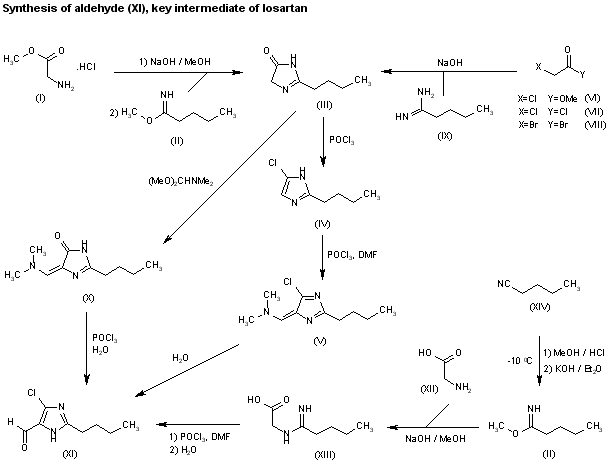
参考文献No.554942
标题:Novel syntheses of 2-butyl-5-chloro-3H-imidazole-4-carbaldehyde: A key intermediate for the synthesis of the angiotensin II antagonist losartan
作者:Griffiths, G.J.; Hauck, M.B.; Imwinkelried, R.; Kohr, J.; Roten, C.A.; Stucky, G.C.; Gosteli, J.
来源:J Org Chem 1999,64(22),8084
合成路线图解说明:

Several novel syntheses of 2-butyl-5-chloro-3H-imidazole-4-carbaldehyde (XI), a key intermediate in the synthesis of losartan, have been described: 1) Treatment of glycine methyl ester hydrochloride (I) with NaOH in methanol, followed by reaction with methyl pentanimidate (II), gives 2-butyl-4,5-dihydro-1H-imidazol-5-one (III), which is treated with POCl3 to give the 2-butyl-5-chloro-1H-imidazole (IV). Reaction of (IV) with POCl3 and DMF yields the enamine (V), which is finally hydrolyzed with water to 2-butyl-5-chloro-3H-imidazole-4-carbaldehyde (XI), the desired intemediate in the synthesis of losartan. 2) Imidazolinone (III) can also be obtained by cyclization of chloroacetic acid methyl ester (VI), chloroacetyl chloride (VII) or bromoacetyl bromide (VIII) with pentanamidine (IX) by means of NaOH in methanol. 3) Alternatively, imidazolinone (III) can be treated with dimethylformamide dimethylacetal in dichloromethane yielding the enamine (X), which is finally treated with POCl3 and hydrolyzed with water. 4) The reaction of glycine (XI) with methyl pentanimidate (II) in NaOH/MeOH gives amidine (XII), which, without isolation, is treated with POCl3 and DMF at 100 C for 2 h, and then hydrolyzed with water to give the desired 2-butyl-5-chloro-3H-imidazole-4-carbaldehyde. Methyl pentanimidate (II) is obtained treating a solution of valeronitrile in MeOH with HCl gas followed by neutralization with aqueous KOH and extraction with Et2O.

参考文献No.577966
标题:Efficient synthesis of losartan, a nonpeptide angiotensin II receptor antagonist
作者:Larsen, R.D.; et al.
来源:J Org Chem 1994,59(21),6391
合成路线图解说明:

The condensation of 2-butyl-4-chloroimidazole-5-carbaldehyde (I) with 4-bromobenzyl bromide (II) by means of K2CO3 in dimethylacetamide gives 1-(4-bromobenzyl)-2-butyl-4-chloroimidazole-5-carbaldehyde (III), which is reduced with NaBH4 in methanol yielding the corresponding carbinol (IV). The condensation of (IV) with the phenylboronic acid (VI) by means of Pd(OAc)2 and PPh3 affords the biphenyl derivative (VI), which is finally detritylated with H2SO4 in acetonitrile. The intermediate phenylboronic acid (V) has been obtained as follows: The protection of 5-phenyltetrazole (VII) with trityl chloride and TEA in THF gives 5-phenyl-2-(triphenylmethyl)tetrazole (VII), which is then treated with isopropyl borate and BuLi in THF.

Drug Information Express,Drug R&D,Chemical Database,Patent Search.
Copyright © 2006-2026 Drug Future. All rights reserved.Contact Us