【药物名称】Toborinone, OPC-18790, Tobonone
化学结构式(Chemical Structure):
参考文献No.190692
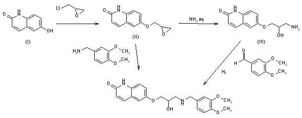
标题:Novel positive inotropic agents; synthesis and biological activities of 6-(3-amino-2-hydroxypropoxy)-2(1H)-quinolinone derivatives
作者:Fujioka, T.; Teramoto, S.; Mori, T.; Hosokawa, T.; Sumida, T.; Tominaga, M.; Yabuuchi, Y.
来源:J Med Chem 1992,35(20),3607-12
合成路线图解说明:

6-Hydroxy-2(1H)-quinolinone (I) is alkylated with epichlorohydrin in the presence of K2CO3 in MeOH to afford 6-(2,3-epoxypropoxy)-2(1H)-quinolinone (II). Ring opening of the epoxide (II) with 3,4-dimethoxybenzylamine gives OPC-18790. This compound is also obtained by the reductive alkylation of 6-(3-amino-2-hydroxypropoxy)-2(1H)-quinolinone (III) with 3,4-dimethoxybenzaldehyde.

参考文献No.230369
标题:OPC-18790
作者:Fujioka, T.
来源:Drugs Fut 1993,18(12),1114
合成路线图解说明:

6-Hydroxy-2(1H)-quinolinone (I) is alkylated with epichlorohydrin in the presence of K2CO3 in MeOH to afford 6-(2,3-epoxypropoxy)-2(1H)-quinolinone (II). Ring opening of the epoxide (II) with 3,4-dimethoxybenzylamine gives OPC-18790. This compound is also obtained by the reductive alkylation of 6-(3-amino-2-hydroxypropoxy)-2(1H)-quinolinone (III) with 3,4-dimethoxybenzaldehyde.

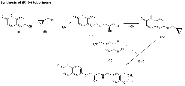
参考文献No.375897
标题:Synthesis and biological activities of optically active 6-[3-(3,4-dimethox ybenzylamino)-2 hydroxypropoxy]-2(1H)-quinolinone (OPC-18790)
作者:Fujioka, T.; Teramoto, S.; Tsujimi, S.; Takemoto, K.; Mori, T.; Hosokawa, T.; Sumida, T.; Tominaga, M.; Yabuuchi, Y.
来源:Chem Pharm Bull 1996,44(8),1596
合成路线图解说明:

The synthesis of the (+)-(R)-isomer of OPC-18790 has been published: The condensation of 6-hydroxyquinolin-2(1H)-one (I) with (S)-(+)-epichlorohydrin (II) by means of triethylamine in methanol gives (S)-(+)-6-(3-chloro-2-hydroxypropoxy)quinolin-2(1H)-one (III), which by reaction with KOH in isopropanol/water yields the (R)-(-)-epoxide (IV). Finally, this compound is condensed with 3,4-dimethoxybenzylamine (V) by heating its mixture at 80 C. The (+)-(R)-isomer is about 10-fold more potent than the (-)-(S)-isomer.

Drug Information Express,Drug R&D,Chemical Database,Patent Search.
Copyright © 2006-2026 Drug Future. All rights reserved.Contact Us