【药物名称】Zatosetron maleate, LY-277359 maleate
化学结构式(Chemical Structure):
参考文献No.9981
标题:Improvements in or relating to specific 5-HT3 antagonists
作者:Cohen, M.L.; Lacefield, W.B. (Eli Lilly and Company)
来源:AU 8821916; EP 0307172; JP 1989110684
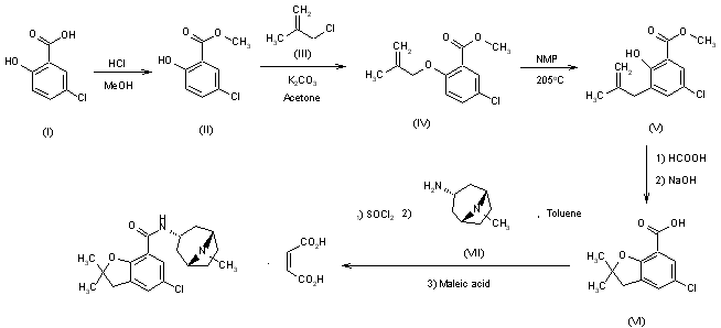
合成路线图解说明:

1) The esterification of 5-chloro-2-hydroxybenzoic acid (I) with methanol - HCl gives the corresponding methyl ester (II), which is alkylated with 3-chloro-2-methylpropene (III) to afford methyl 5-chloro-2-(2-methyl-2-propenyloxy)benzoate (IV). The rearrangement of (IV) by heating with N-methylpyrrolidine yields methyl 5-chloro-2-hydroxy-3-(2-methyl-2-propenyl)benzoate (V). The cyclization of (V) in formic acid followed by hydrolysis with NaOH gives 5-chloro-2,2-dimethyl-2,3-dihydrobenzofuran-7-carboxylic acid (VI), which is finally treated with SOCl2, condensed with 3alpha-aminotropane (VII) and treated with maleic acid.

参考文献No.154091
标题:The synthesis of the carbonyl-14C analog of zatosetron maleate, a potent, long-acting, orally effective 5-HT3 receptor antagonist
作者:O'Bannon, D.D.; Wheeler, W.J.
来源:J Label Compd Radiopharm 1991,29(6),625-32
合成路线图解说明:

2) The title compound, with or without [14C]-radiolabeling at the carboxamide group, is synthesized as follows: The alkylation of 2-bromo-4-chlorophenol (VIII) with 2-methylallyl chloride (III) by means of cesium carbonate in acetone gives the corresponding allyl ether (IX), which is submitted to an allylic transposition to the ortho allyl phenol (X); the latter, without isolation, is thermically cyclized to 7-bromo-5-chloro-2,2-dimethyl-2,3-dihydrobenzofuran (XI). The reaction of (XI) with KCN (with or without [14C]-radiolabel) by means of CuCN yields 5-chloro-2,2-dimethyl-2,3-dihydrobenzofuran-7-carbonitrile (XII), which is hydrolyzed with methanolic KOH to the corresponding acid (XIII). The reaction of (XIII) with oxalyl chloride in toluene affords the corresponding acyl chloride (XIV), which is finally condensed with endo-3-amino-8-methyl-8-azabicyclo[3.2.1]octane (3alpha-aminotropane) (VII) in toluene as solvent.

参考文献No.169619
标题:Zatosetron, a potent, selective, and long-acting 5-HT3 receptor antagonist: Synthesis and structure-activity relationships
作者:Robertson, D.W.; Lacefield, W.B.; Bloomquist, W.; Pfiefer, W.; Simon, R.L.; Cohen, M.L.
来源:J Med Chem 1992,35(2),310-9
合成路线图解说明:

1) The esterification of 5-chloro-2-hydroxybenzoic acid (I) with methanol - HCl gives the corresponding methyl ester (II), which is alkylated with 3-chloro-2-methylpropene (III) to afford methyl 5-chloro-2-(2-methyl-2-propenyloxy)benzoate (IV). The rearrangement of (IV) by heating with N-methylpyrrolidine yields methyl 5-chloro-2-hydroxy-3-(2-methyl-2-propenyl)benzoate (V). The cyclization of (V) in formic acid followed by hydrolysis with NaOH gives 5-chloro-2,2-dimethyl-2,3-dihydrobenzofuran-7-carboxylic acid (VI), which is finally treated with SOCl2, condensed with 3alpha-aminotropane (VII) and treated with maleic acid.

参考文献No.264350
标题:Zatosetron Maleate
作者:Graul, A.; Casta馿r, J.; Prous, J.
来源:Drugs Fut 1994,19(9),850
合成路线图解说明:

1) The esterification of 5-chloro-2-hydroxybenzoic acid (I) with methanol - HCl gives the corresponding methyl ester (II), which is alkylated with 3-chloro-2-methylpropene (III) to afford methyl 5-chloro-2-(2-methyl-2-propenyloxy)benzoate (IV). The rearrangement of (IV) by heating with N-methylpyrrolidine yields methyl 5-chloro-2-hydroxy-3-(2-methyl-2-propenyl)benzoate (V). The cyclization of (V) in formic acid followed by hydrolysis with NaOH gives 5-chloro-2,2-dimethyl-2,3-dihydrobenzofuran-7-carboxylic acid (VI), which is finally treated with SOCl2, condensed with 3alpha-aminotropane (VII) and treated with maleic acid.

合成路线图解说明:

2) The title compound, with or without [14C]-radiolabeling at the carboxamide group, is synthesized as follows: The alkylation of 2-bromo-4-chlorophenol (VIII) with 2-methylallyl chloride (III) by means of cesium carbonate in acetone gives the corresponding allyl ether (IX), which is submitted to an allylic transposition to the ortho allyl phenol (X); the latter, without isolation, is thermically cyclized to 7-bromo-5-chloro-2,2-dimethyl-2,3-dihydrobenzofuran (XI). The reaction of (XI) with KCN (with or without [14C]-radiolabel) by means of CuCN yields 5-chloro-2,2-dimethyl-2,3-dihydrobenzofuran-7-carbonitrile (XII), which is hydrolyzed with methanolic KOH to the corresponding acid (XIII). The reaction of (XIII) with oxalyl chloride in toluene affords the corresponding acyl chloride (XIV), which is finally condensed with endo-3-amino-8-methyl-8-azabicyclo[3.2.1]octane (3alpha-aminotropane) (VII) in toluene as solvent.

参考文献No.562898
标题:Development of a manufacturing process for zatosetron maleate
作者:Burks, J.E.; et al.
来源:Org Process Res Dev 1997,1(3),198
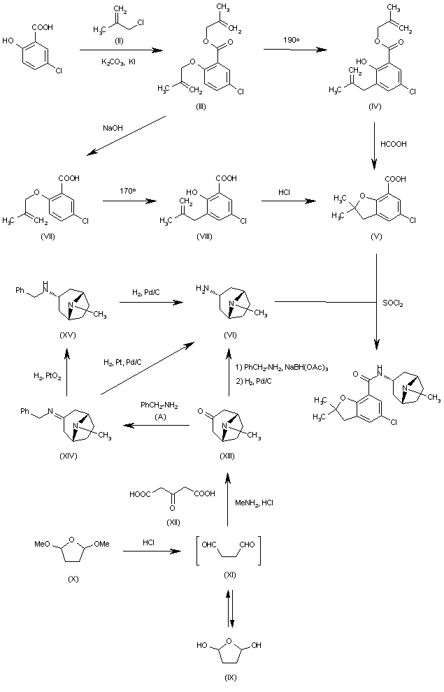
合成路线图解说明:

The reaction of 5-chloro-2-hydroxybenzoic acid (I) with 2-methyl-2-propenyl chloride (II) by means of K2CO3 and KI in hot DMF gives 5-chloro-2-(2-methyl-2-propenyloxy)benzoic acid 2-methyl-2-propenyl ester (III), which is rearranged by heating at 190 C yielding 5-chloro-2-hydroxy-3-(2-methyl-2-propenyl)benzoic acid 2-methyl-2-propenyl ester (IV). The cyclization of (IV) with refluxing 90% formic acid affords 5-chloro-2,2-dimethyl-2,3-dihydrobenzofuran-7-carboxylic acid (V), which is treated with SOCl2 in DMF and condensed with endo-8-methyl-8-azabicyclo[3.2.1]octan-3-amine (VI). The acid intermediate (V) can also be obtained by hydrolysis of the ester (III) with NaOH and tetrabutylammonium bisulfate in refluxing water to give 5-chloro-2-(2-methyl-2-propenyloxy)benzoic acid (VII), which is rearranged by heating at 170 C yielding 5-chloro-2-hydroxy-3-(2-methyl-2-propenyl)benzoic acid (VIII). Finally, (VIII) is cyclized to acid intermediate (V) by a treatment with aqueous refluxing 2.7N HCl. The intermediate endo-8-methyl-8-azabicyclo[3.2.1]octan-3-amine (VI) has been obtained as follows: 2,5-dihydroxytetrahydrofuran (IX) or 2,5-dimethoxytetra-hydrofuran (X) with HCl give butanedialdehyde (XI), which, without isolation, is cyclized with 3-oxoglutaric acid (XII) and methylamine by means of NaOAc and HCl in hot water yielding 8-methyl-8-azabicyclo[3.2.1]octan-3-one (XIII). The reductocondensation of (XIII) with benzylamine by means of NaBH(OAc)3, followed by hydrogenolysis with H2 over Pd/C in basic water gives directly the amine (VI). The intermediate amine (VI) can also be obtained by condensation of bicyclooctanone (XIII) with benzylamine(A) to give the imine (XIV), which is reduced to the benzylamine (XV) with H2 over PtO2 in ethanol. Finally, this compound is debenzylated by hydrogenation over Pd/C in the same solvent yielding amine (VI).

Drug Information Express,Drug R&D,Chemical Database,Patent Search.
Copyright © 2006-2026 Drug Future. All rights reserved.Contact Us