【药物名称】CI-959
化学结构式(Chemical Structure):
参考文献No.173733
标题:Novel benzothiophene-, benzofuran-, and naphthalenecarboxamidotetrazoles as potential antiallergy agents
作者:Connor, D.T.; Cetenko, W.A.; Mullican, M.D.; Sorenson, R.J.; Unangst, P.C.; Weikert, R.J.; Adolphson, R.L.; Kennedy, J.A.; Thueson, D.O.; Wright, C.D.; et al.
来源:J Med Chem 1992,35(5),958-65
合成路线图解说明:

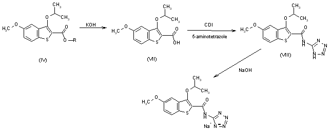
Saponification of ester (IV) yields the alkoxycarboxylic acid (VII), which is coupled with 5-aminotetrazole in the presence of 1,1'-carbonylbis(1H-imidazole) (CDI) to provide the carboxamidotetrazole (VIII). Reaction of (VIII) with sodium hydroxide furnishes CI-959 (IX) as the tetrazole sodium salt.

参考文献No.234832
标题:CI-959
作者:Unangst, P.C.; Connor, D.T.; Low, J.E.; Conroy, M.C.
来源:Drugs Fut 1994,19(1),17
合成路线图解说明:

Alternate routes to the key benzo[b]thiophene ester intermediates (IV) are described: 1) Alkylation of the thiol ester (I) yields the diester (II), and a Dieckmann condensation of (II) with base provides the benzo[b]thiophene enol ester (III). Alkylation of (III) with 2-bromopropane then yields the ester intermediate (IV, R = CH3). 2) A shorter route to (IV) begins with cyclization of the cinnamic acid derivative (V) with thionyl choride (2) to give the chloro acid chloride (VI). Reaction of (VI) with the potassium salt of 2-propanol yields the ester (IV, R = CH(CH3)2).

合成路线图解说明:

Saponification of ester (IV) yields the alkoxycarboxylic acid (VII), which is coupled with 5-aminotetrazole in the presence of 1,1'-carbonylbis(1H-imidazole) (CDI) to provide the carboxamidotetrazole (VIII). Reaction of (VIII) with sodium hydroxide furnishes CI-959 (IX) as the tetrazole sodium salt.

参考文献No.801613
标题:Synthesis of 2-methoxydibenzo[b,f][1,4]thiazapin-11(10H)-one 5,5-dioxide
作者:Johnson, J.; Tramondozzi; Bennet, O.F.
来源:Org Prep Proced Int 1974,6287-93
合成路线图解说明:

Alternate routes to the key benzo[b]thiophene ester intermediates (IV) are described: 1) Alkylation of the thiol ester (I) yields the diester (II), and a Dieckmann condensation of (II) with base provides the benzo[b]thiophene enol ester (III). Alkylation of (III) with 2-bromopropane then yields the ester intermediate (IV, R = CH3). 2) A shorter route to (IV) begins with cyclization of the cinnamic acid derivative (V) with thionyl choride (2) to give the chloro acid chloride (VI). Reaction of (VI) with the potassium salt of 2-propanol yields the ester (IV, R = CH(CH3)2).

参考文献No.801614
标题:Oxidations by thionyl chloride. VI. Mechanism of the reaction with cinnamic acids
作者:Higa, T.; Krubsack, A.J.
来源:J Org Chem 1975,403037-45
合成路线图解说明:

Alternate routes to the key benzo[b]thiophene ester intermediates (IV) are described: 1) Alkylation of the thiol ester (I) yields the diester (II), and a Dieckmann condensation of (II) with base provides the benzo[b]thiophene enol ester (III). Alkylation of (III) with 2-bromopropane then yields the ester intermediate (IV, R = CH3). 2) A shorter route to (IV) begins with cyclization of the cinnamic acid derivative (V) with thionyl choride (2) to give the chloro acid chloride (VI). Reaction of (VI) with the potassium salt of 2-propanol yields the ester (IV, R = CH(CH3)2).

Drug Information Express,Drug R&D,Chemical Database,Patent Search.
Copyright © 2006-2026 Drug Future. All rights reserved.Contact Us