【药物名称】Trefentanil hydrochloride, ANQ-3665, A-3665
化学结构式(Chemical Structure):
参考文献No.9864
标题:4-Phenyl-4-[N-(phenyl)amido]piperidine derivs. and pharmaceutical compsns. and methods employing such cpds
作者:Kudzma, L.V.; Spencer, H.K.; Severnak, S.A. (BOC Health Care, Inc.)
来源:AU 8824558; EP 0315405; JP 1990015061; JP 1990152963; US 4791121; US 4921864
合成路线图解说明:

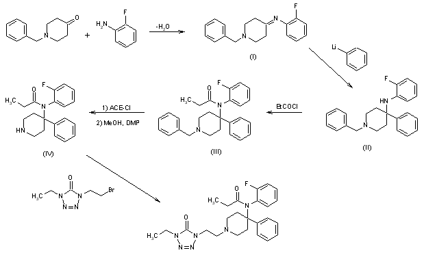
Condensation of 1-benzyl-4-piperidone (I) with 2-fluoroaniline (II) affords imine (III). Addition of phenyllithium (IV) to imine (III) gives amine (V), which is acylated with propionyl chloride and the resultant amide (VI) is debenzylated via 1-chloroethyl chloroformate in refluxing 1,2-dichloroethane followed by methanolysis to give (VII). Amine (VII)) is alkylated with 1-(2-bromoethyl)-4-ethyl-4,5-dihydro-1H-tetrazol-5-one(VIII) to yield A-3665. A-3665 hydrochloride is precipitated with dry HCl gas in ethyl ether.

参考文献No.127724
标题:A-3665
作者:Kudzma, L.V.; Ossipov, M.H.; Benvenga, M.J.; Spaulding, T.C.; Rudo, F.G.
来源:Drugs Fut 1990,15(6),559
合成路线图解说明:

Condensation of 1-benzyl-4-piperidone (I) with 2-fluoroaniline (II) affords imine (III). Addition of phenyllithium (IV) to imine (III) gives amine (V), which is acylated with propionyl chloride and the resultant amide (VI) is debenzylated via 1-chloroethyl chloroformate in refluxing 1,2-dichloroethane followed by methanolysis to give (VII). Amine (VII)) is alkylated with 1-(2-bromoethyl)-4-ethyl-4,5-dihydro-1H-tetrazol-5-one(VIII) to yield A-3665. A-3665 hydrochloride is precipitated with dry HCl gas in ethyl ether.

Drug Information Express,Drug R&D,Chemical Database,Patent Search.
Copyright © 2006-2026 Drug Future. All rights reserved.Contact Us