【药物名称】Ranitidine Bismutrex, Ranitidine bismuth citrate, GR-122311-X, Tritec, Pylorid
化学结构式(Chemical Structure):
参考文献No.12289
标题:Ranitidine derivs
作者:Clitherow, J.W. (Glaxo Wellcome plc)
来源:BE 1003254; CH 679582; GB 2220937; JP 1990117684; US 5008256
合成路线图解说明:

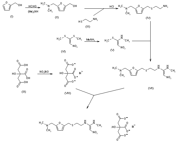
The reaction of 2-furan-methanol (I) with dimethylamine and formaldehyde gives 5-(dimethylaminomethyl)furan-2-methanol (II), which is condensed with 2-sulfanylethylamine (III) yielding 2-[5-(dimethylaminomethyl)furan-2-ylsulfanyl]ethylamine (IV). The condensation of (IV) with 1-(methylamino)-1-(methylsulfanyl)-2-nitroethylene (V), obtained from 1,1,-bis(methylsulfanyl)-2-nitroethylene (VI) and methylamine, in hot acetone, or by heating at 100-120 C affords N-[2-[5-(dimethylaminomethyl)furan-2-ylmethylsulfanyl]ethyl]- N'-methyl-2-nitroethylene-1,1-diamine (VII) , which is finally complexed with bismuth (+3) citrate (VIII), obtained by reaction of NO3BiO with citric acid (IX) in hot water.

参考文献No.26188
标题:Aminoalkyl furan derivs
作者:Bradshaw, J.; Price, B.J.; Clitherow, J.W.
来源:GB 1565966
合成路线图解说明:

The reaction of 2-furan-methanol (I) with dimethylamine and formaldehyde gives 5-(dimethylaminomethyl)furan-2-methanol (II), which is condensed with 2-sulfanylethylamine (III) yielding 2-[5-(dimethylaminomethyl)furan-2-ylsulfanyl]ethylamine (IV). The condensation of (IV) with 1-(methylamino)-1-(methylsulfanyl)-2-nitroethylene (V), obtained from 1,1,-bis(methylsulfanyl)-2-nitroethylene (VI) and methylamine, in hot acetone, or by heating at 100-120 C affords N-[2-[5-(dimethylaminomethyl)furan-2-ylmethylsulfanyl]ethyl]- N'-methyl-2-nitroethylene-1,1-diamine (VII) , which is finally complexed with bismuth (+3) citrate (VIII), obtained by reaction of NO3BiO with citric acid (IX) in hot water.

参考文献No.296812
标题:Ranitidine Bismuth Citrate
作者:Casta馿r, J.; Rabasseda, X.; Mealy, N.
来源:Drugs Fut 1995,20(5),480
合成路线图解说明:

The reaction of 2-furan-methanol (I) with dimethylamine and formaldehyde gives 5-(dimethylaminomethyl)furan-2-methanol (II), which is condensed with 2-sulfanylethylamine (III) yielding 2-[5-(dimethylaminomethyl)furan-2-ylsulfanyl]ethylamine (IV). The condensation of (IV) with 1-(methylamino)-1-(methylsulfanyl)-2-nitroethylene (V), obtained from 1,1,-bis(methylsulfanyl)-2-nitroethylene (VI) and methylamine, in hot acetone, or by heating at 100-120 C affords N-[2-[5-(dimethylaminomethyl)furan-2-ylmethylsulfanyl]ethyl]- N'-methyl-2-nitroethylene-1,1-diamine (VII) , which is finally complexed with bismuth (+3) citrate (VIII), obtained by reaction of NO3BiO with citric acid (IX) in hot water.

Drug Information Express,Drug R&D,Chemical Database,Patent Search.
Copyright © 2006-2026 Drug Future. All rights reserved.Contact Us