【药物名称】Clinprost, Lipo-isocarbacyclin methyl ester, Lipo PGI2, TEI-9090, TTC-909(lipid microsphere formulation), Lipocurren, Arteon
化学结构式(Chemical Structure):
参考文献No.12537
标题:Prostacyclines and process for their preparation
作者:Ikegami, S.; Kurozumi, S. (Teijin Ltd.)
来源:EP 0134246
合成路线图解说明:

6) The methylenation of (LVI), (11-O,15-O-bis(tetrahydropyranyl)prostaglandin E2) as an epimeric mixture in the 15-OH, with Zn/CH2Br2/TiCl4 as before gives compound (LVII), which is hydroxylated with 9-BBN and H2O2 as usual to yield compound (LVIII). The iodoetherification of (LVIII) followed by a treatment with DBU in toluene affords the cyclic enol ether (LIX), which is converted into the keto alcohol (LX) in acetic acid/THF/water. Oxidation of (LX) with SO3/Pyr gives the corresponding aldehyde (LXI), which appeared to be unstable and was immediately cyclized with Zn/TiCl4 to the bicyclic diol (LXII). Selective mesylation of (LXII) with mesyl chloride/triethylamine in dichloromethane yields the monomesylate (LXIII), which is cyclized to the epoxide (LXIV) by treatment with DBU in the same solvent. The reaction of epoxide (LXIV) first with NaI/trifluoroacetic anhydride, and then with Zn affords (LXV), the bitetrahydropyranyl derivative of clinprost (as an epimeric mixture in the 15-OH), which is finally deprotected with acetic acid/THF/water and submitted to column chromatography to obtain enantiomerically pure clinprost.

参考文献No.33920
标题:Bicyclo[3.3.0]octane deriv. and preparation thereof
作者:Shibasaki, M.; Mase, T.; Sodeoka, M.; Ogawa, Y. (Sagami Chemical Research Center)
来源:EP 0134153
合成路线图解说明:

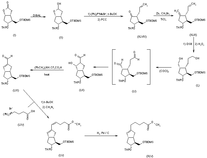
5) The unsaturated pentanoic acid methyl ester derivative (XLV) obtained in scheme 16133803a can also be obtained as follows: The reaction of lactol (II) with methyltriphenylphosphonium bromide and t-BuOK in THF, followed by oxidation with PCC in dichloromethane gives the allyl ketone (XLVIII), which is methylenated with Zn/CH2Br2/TiCl4 to yield compound (XLIX). The reaction of (XLIX) with disiamylborane (DSB) and H2O2 hydroxylates the two double bonds, affording compound (L) with two primary hydroxy groups, which are oxidized with oxalyl chloride to the corresponding (LI) with two aldehyde groups. This compound cyclizes to the bicyclic hydroxyaldehyde (LII), which is dehydrated with dibenzylammonium trifluoroacetate to the unsaturated bicyclic aldehyde (LIII). The condensation of (LIII) with 3-carboxypropyltriphenylphosphonium bromide (LIV) by means of t-BuOK in THF followed by methylation with diazomethane gives the bicyclic dienoic ester (LV), which is then selectively reduced to the previously described intermediate (XLV).

参考文献No.33921
标题:Isocarbacyclin derivs. and their preparation
作者:Hari, A.; Tanaka, T.; Okamura, N.; Sakauchi, K. (Teijin Ltd.)
来源:JP 1988303962
合成路线图解说明:

11) The alkylation of the exocyclic methylene double bond of the fully protected bicyclic triol (XCIV) with 4,4-bis(phenylsulfonyl)butyric acid methyl ester (XCV) by means of NaH and catalyzed by a palladium complex gives (XCVI), which is desulfonated by treatment with magnesium in dry methanol to yield the bisilylated clinprost (XCIII). Finally, this compound is desilylated with TBAF as usual.

参考文献No.412127
标题:Clinprost
作者:Graul, A.; Leeson, P.; Casta馿r, J.
来源:Drugs Fut 1997,22(6),608
合成路线图解说明:

1) The reduction of the Corey lactone (I) with diisobutylaluminum hydride (DIBAL) in hexane/toluene gives the lactol (II), which is condensed with 4-carboxybutyltriphenylphosphonium bromide (III) by means of t-BuOK in THF yielding the pentenoic ester (IV). The oxidation of the free hydroxy group of (IV) with pyridinium chlorochromate (PCC) in dichloromethane affords the cyclopentanone (V), which is methylenated with Zn/CH2Br2/TiCl4 in dichloromethane giving compound (VI). The THP ether group of (VI) was selectively eliminated with dimethylaluminum chloride in dichloromethane and protected again with tert-butyldimethylsilyl chloride (TBDMS-Cl) and imidazole in DMF yielding the disilylated compound (VII). The hydrolytic cleavage of the exocyclic double bond of (VII) with 9-borabicyclo[3.3.1]nonane (9-BBN) in THF affords compound (VIII), which is oxidized with Collins reagent (CrO3/Pyr) to the corresponding aldehyde (IX). The cyclization of (IX) by heating at 180 C in toluene in a sealed tube gives the bicyclo[3.3.0]octane (X), still with the double bond in the pentenoic side chain, which is reduced with H2 over Pd/C in methanol yielding the saturated compound (XI). The dehydration of (XI) by mesylation with mesyl chloride and reaction with 1,8-diazabicyclo[5.4.0]undec-7-ene (DBU) in refluxing methanol affords the bicyclo[3.3.0]-2-octene (XII), which is selectively deprotected with pyridinium para-toluenesulfonate (PPTS) in ethanol giving the hydroxymethyl derivative (XIII). The oxidation of (XIII) with SO3/Pyr in DMSO yields the corresponding aldehyde (XIV), which is condensed with dimethyl 2-oxoheptylphosphonate (XV) in THF giving the oxidized isocarbacyclin derivative (XVI). The reduction of the keto group of (XVI) with NaBH4 in methanol yields the corresponding secondary alcohol (XVII) as a mixture of diastereomers. Finally, this compound is deprotected with tetrabutylammonium fluoride (TBAF) in THF and submitted to column chromatography over silicagel in ether/hexane in order to isolate the pure enantiomer.

合成路线图解说明:

2) The methylenation of the disilylated 5,6-didehydroprostaglandin E2 (XVIII) with Zn/CH2Br2/TiCl4 as before gives the methylene derivative (XIX), which is converted into the hydroxymethyl derivative (XX) with 9-BBN also as before. The oxidation of (XX) with CrO3/Pyr in dichloromethane yields the corresponding aldehyde (XXI), which is treated with [Ph(Me)2Si]2CuCNLi2 [(PDMS)2CuCNLi2] affording the trisilylated compound (XXII). The esterification of the hydroxy group of (XXII) with 3-(trifluoromethyl)benzoyl chloride (XXIII) by means of DMAP in acetonitrile gives the benzoate (XXIV), which is cyclized by means of N-methylcarbazol (NMC) and magnesium perchlorate in THF/water and irradiation with a 500 W UV-lamp giving the bicyclo[3.3.0]octan-3-ylidene derivative (XXV). The selective desilylation of (XXV) with HClO4 in ether/methanol gives the dihydroxycarbacyclin (XXVI), which is finally desilylated and simultaneously isomerized by a treatment with trifluoroacetic acid in dichloromethane affording the expected clinprost. 3) The cyclization of (XXII) to (XXV) can also be performed by treatment of (XXII) with CS2, CH3I and lithium diisopropylamide in THF to give (XXVII), which is then cyclized to (XXV) by means of Bu3SnH and di-tert-butyl peroxide in hot benzene.

合成路线图解说明:

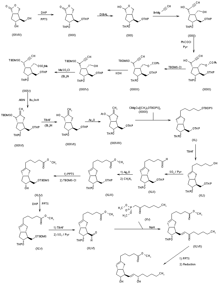
4) The protection of the bicyclic lactone (XXVIII) with dihydropyran and PPTS in THF gives the bistetrahydropyranyl ether (XXIX), which is reduced with DIBAL in THF to the lactol (XXX). The reaction of (XXX) with bromomagnesium acetylide in THF yields (XXXI), which is selectively benzoylated with benzoyl chloride and pyridine affording the monobenzoyl ester (XXXII). The silylation of the secondary hydroxy group of (XXXII) with TBDMS-Cl and imidazole in THF gives the fully protected compound (XXXIII), which is treated with KOH in methanol in order to eliminate the benzoyl group, yielding the hydroxymethyl derivative (XXXIV). The reaction of (XXXIV) with mesyl chloride and triethylamine in dichloromethane affords the mesylate (XXXV), which is cyclized by means of NaI, AIBN and tributyltin hydride in hot glyme giving the bicyclo[3.3.0]octane (XXXVI). The desilylation of (XXXVI) with TBAF and triethylamine in THF yields compound (XXXVII) with a secondary hydroxy group, which is acetylated with acetic anhydride to the acetate (XXXVIII). The condensation of (XXXVIII) with the copper derivative (XXXIX) affords the silylated pentanol derivative (XL), which is deprotected with TBAF and triethylamine in THF to the free pentanol derivative (XLI). The oxidation of (XLI) with SO3/Pyr in DMSO gives the corresponding aldehyde (XLII), which is further oxidized with Ag2O and NaOH in ethanol, and esterified with diazomethane yielding the methyl ester (XLIII). The deprotection of (XLIII) with PPTS in methanol, followed by selective silylation of the primary alcohol with TBDMS-Cl affords the monosilylated compound (XLIV), which is treated with dihydropyran and PPTS in order to protect the secondary hydroxy group yielding (XLV). The desilylation of (XLV) with TBAF, followed by oxidation of the primary alcohol with SO3/Pyr gives the corresponding aldehyde (XLVI), which is condensed with the previously described phosphonate (XV) by means of NaH in glyme affording the ketonic prostacycline (XLVII). Finally, this compound is deprotected with PPTS in methanol and reduced with diisobutylaluminum 2,6-di-tert-butylphenolate giving a mixture of diastereomers that is separated by column chromatography.

合成路线图解说明:

5) The unsaturated pentanoic acid methyl ester derivative (XLV) obtained in scheme 16133803a can also be obtained as follows: The reaction of lactol (II) with methyltriphenylphosphonium bromide and t-BuOK in THF, followed by oxidation with PCC in dichloromethane gives the allyl ketone (XLVIII), which is methylenated with Zn/CH2Br2/TiCl4 to yield compound (XLIX). The reaction of (XLIX) with disiamylborane (DSB) and H2O2 hydroxylates the two double bonds, affording compound (L) with two primary hydroxy groups, which are oxidized with oxalyl chloride to the corresponding (LI) with two aldehyde groups. This compound cyclizes to the bicyclic hydroxyaldehyde (LII), which is dehydrated with dibenzylammonium trifluoroacetate to the unsaturated bicyclic aldehyde (LIII). The condensation of (LIII) with 3-carboxypropyltriphenylphosphonium bromide (LIV) by means of t-BuOK in THF followed by methylation with diazomethane gives the bicyclic dienoic ester (LV), which is then selectively reduced to the previously described intermediate (XLV).

合成路线图解说明:

6) The methylenation of (LVI), (11-O,15-O-bis(tetrahydropyranyl)prostaglandin E2) as an epimeric mixture in the 15-OH, with Zn/CH2Br2/TiCl4 as before gives compound (LVII), which is hydroxylated with 9-BBN and H2O2 as usual to yield compound (LVIII). The iodoetherification of (LVIII) followed by a treatment with DBU in toluene affords the cyclic enol ether (LIX), which is converted into the keto alcohol (LX) in acetic acid/THF/water. Oxidation of (LX) with SO3/Pyr gives the corresponding aldehyde (LXI), which appeared to be unstable and was immediately cyclized with Zn/TiCl4 to the bicyclic diol (LXII). Selective mesylation of (LXII) with mesyl chloride/triethylamine in dichloromethane yields the monomesylate (LXIII), which is cyclized to the epoxide (LXIV) by treatment with DBU in the same solvent. The reaction of epoxide (LXIV) first with NaI/trifluoroacetic anhydride, and then with Zn affords (LXV), the bitetrahydropyranyl derivative of clinprost (as an epimeric mixture in the 15-OH), which is finally deprotected with acetic acid/THF/water and submitted to column chromatography to obtain enantiomerically pure clinprost.

合成路线图解说明:

7) The regio- and stereoselective carboxylation of the tricyclic ketone (LXVI) with dimethyl carbonate by means of t-BuOK in THF gives the keto ester (LXVII), which by treatment with acetic acid/H2SO4 is converted into the acetoxy keto ester (LXVIII). The reduction of (LXVIII) with NaBH4 in methanol followed by reaction with dihydropyran/PPTS yields the tetrahydropyranyl ether (LXIX), which is deacetylated with K2CO3 in methanol, and the resulting alcohol is protected again with TBDPS-Cl and imidazole in DMF to afford the protected dihydroxy ester (LXX). The reduction of (LXX) with DIBAL, followed by oxidation with CrO3/Pyr gives the aldehyde (LXXI), which is condensed with dimethyl 2-oxoheptylphosphonate (XV) by means of NaH in THF yielding the bicyclic enone (LXXII). Selective elimination of the THP group, followed by reduction of the keto group with DIBAL in toluene and flash column chromatography affords the diol (LXXIII) as a pure enantiomer. Protection of the two hydroxy groups with dihydropyran/PPTS, followed by desilylation with TBAF in THF gives the bicyclic alcohol (LXXIV), which is oxidized with CrO3/Pyr in DMF to the corresponding ketone (LXXV). The condensation of (LXXV) with 4-formylbutyric acid methyl ester (LXXVI) by means of lithium diisopropylamide in THF yields the oxocarbacycline derivative (LXXVII). The reductoisomerization of the enone (LXXVII) with NaBH4/CeCl4 in methanol affords the hydroxylated isocarbacycline derivative (LXXVIII), which is treated with phenoxythionocarbonyl chloride and DMAP to give the thiocarbonate (LXXIX) [intermediate for the elimination of the hydroxy group of (LXXVIII)]. The reductive cleavage of (LXXIX) with Bu3SnH/AIBN in refluxing benzene yields the bitetrahydropyranyl derivative of clinprost (LXXX), which is finally deprotected with acetic acid/THF/water.

合成路线图解说明:

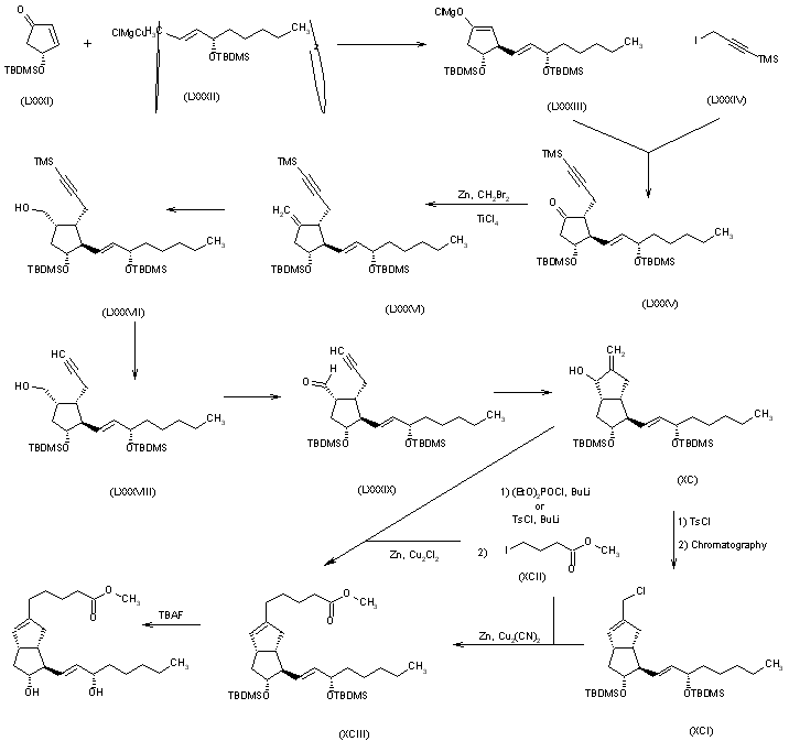
8) The condensation of the cyclopentenone (LXXXI) with the organocuprate (LXXXII) gives the condensed enolate (LXXXIII), which is coupled with 3-(trimethylsilyl)-2-propynyl iodide (LXXXIV) to yield the acetylenic cyclopentanone (LXXXV). The methylenation of (LXXXV) with Zn/CH2Br2/TiCl4 as before gives compound (LXXXVI), which by selective hydroboration as usual is converted into the hydroxymethyl derivative (LXXXVII). The selective desilylation of the protected acetylene of (LXXXVII) affords (LXXXVIII), which is oxidized as usual to the corresponding aldehyde (LXXXIX). The reductive cyclization of (LXXXIX) gives the bicyclic alcohol (XC), which is treated with tosyl chloride and DMAP in dichloromethane to yield (XCI). Finally, this compound is alkylated with methyl 4-iodobutyrate (XCII)/Zn/Cu2(CN)2 in THF affording the bisilylated clinprost derivative (XCIII) that was desilylated with TBAF as usual. 9) The alkylation of the exocyclic methylene double bond of the bicyclic alcohol (XC) can also be performed by treating (XC) first with diethyl chlorophosphate and BuLi, and then with 4-iodobutyrate (XCII)/Zn/Cu2Cl2 in THF to obtain the previously reported bisilylated clinprost (XCIII). 10) The preceding alkylation of bicyclic alcohol (XC) can also be performed using p-toluenesulfonyl chloride instead of diethyl chlorophosphate.

合成路线图解说明:

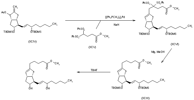
11) The alkylation of the exocyclic methylene double bond of the fully protected bicyclic triol (XCIV) with 4,4-bis(phenylsulfonyl)butyric acid methyl ester (XCV) by means of NaH and catalyzed by a palladium complex gives (XCVI), which is desulfonated by treatment with magnesium in dry methanol to yield the bisilylated clinprost (XCIII). Finally, this compound is desilylated with TBAF as usual.

合成路线图解说明:

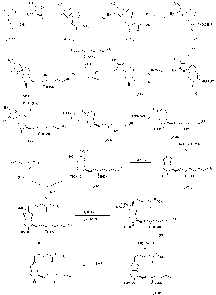
12) The ketalization of (R)-2-(2-oxocyclopentyl)acetic acid methyl ester (XCVII) with butane-2,3-diol gives the expected acetal (XCVIII), which is converted into the beta-keto ester (XCIX) in the usual way. Transesterification of (XCIX) with benzyl alcohol yields the benzyl ester (C), which is converted into the alpha-diazo ester (CI) with p-toluenesulfonyl azide. The cyclization of (CI) by means of rhodium acetate in dichloromethane affords the bicyclic keto ester (CII), which is condensed with 3(S)-(TBDMS-O)-1(E)-octenyl mercury (CIII) by means of lead tetraacetate giving the alkylated bicyclic beta-keto ester (CIV). The decarboxylation of (CIV) with Raney Ni and triethylamine in ethanol yields the bicyclic ketone (CV), which is reduced with NaBH4 and deacetalized with HCl to afford the hydroxy ketone (CVI). The silylation of the hydroxy group of (CVI) with TBDMS-Cl and DMAP in DMF gives the disilylated ketone (CVII), which is treated with diphenyl disulfide and lithium bis(trimethylsilyl)amide in THF/HMPT yielding the sulfenylated enol (CVIII). The oxidation of (CVIII) with m-chloroperbenzoic acid (MCPBA) affords the corresponding sulfonated enol (CIX), which is condensed with methyl 4-iodobutyrate (CX) by means of t-BuOK in DMSO giving the dialkylated bicyclic ketone (CXI). The reduction of (CXI) with NaBH4 in methanol, followed by mesylation with mesyl chloride yields the alpha-mesyloxy sulfone (CXII), which by a reductive elimination with Na-Hg in methanol is converted into the bisilylated clinprost (XCIII). Finally, this compound is desilyated with TBAF as usual.

合成路线图解说明:

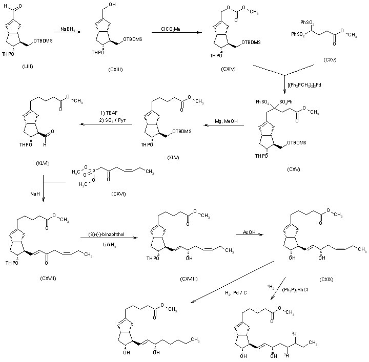
13) The synthesis of the 17,18-ditritiated clinprost can be performed as follows: The reduction of the bicyclic aldehyde (LIII) described in Scheme 4 with NaBH4 in methanol gives the hydroxymethyl derivative (CXIII), which is esterified with methyl chloroformate yielding the carbonate ester (CXIV). The condensation of (CXIV) with 4,4-bis(phenylsulfonyl)butyric acid methyl ester (XCV) catalyzed by a palladium complex in THF affords the expected alkylation product (CXV), which is treated with Mg in methanol to eliminate the phenylsulfonyl groups, giving the unsaturated pentanoic acid methyl ester derivative (XLV) already obtained in Scheme 3. The desilylation of (XLV) with TBAF followed by oxidation with SO3/Pyr yields the aldehyde (XLVI), also reported in Scheme 3. The reaction of (XLVI) with dimethyl 2-oxo-4(Z)-heptenylphosphate (CXVI) by means of NaH in THF affords the expected condensation product (CXVII), which is regioselectively reduced with LiAlH4 in THF in the presence of (S)-(-)-binaphthol to give the (Z)-17,18-didehydro-11-O-tetrahydropyranylclinprost (CXVIII). Elimination of the THP group of (CXVIII) with acetic acid in THF/water yields the (Z)-17,18-didehydroclinprost (CXIX), which is finally tritiated by hydrogenation with tritium gas in benzene/cyclohexane using tris(triphenylphosphine)rhodium(I) chloride as catalyst. 14) If the final reduction of (CXIX) is performed with hydrogen gas in benzene/cyclohexane containing cyclododecene and in the presence of a Pd/C catalyst, clinprost is obtained.

合成路线图解说明:

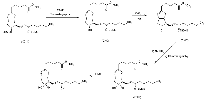
15) The synthesis of the 11beta-tritiated clinprost can be performed as follows: The disilylated compound (XCIII), already reported in Scheme 7, is carefully treated with TBAF in THF and the resulting mixture of 11- and 15-monosilylated compounds is separated by column chromatography over silicagel in hexane/ethylacetate giving the 15-O-silylated compound (CXX), which is oxidized with CrO3/Pyr in dichloromethane yielding the ketonic compound (CXXI). The reduction of (CXXI) with NaB3H4 and CeCl3 in diglyme affords the 11-tritiated compound (CXXII) as an epimeric mixture on the 11-carbon, which was resolved by column chromatography giving enantiomerically pure (CXXII). Finally, this compound is desilylated with TBAF as usual.

参考文献No.432884
标题:Synthesis of tritium-labelled isocarbacyclin derivatives, radiolabelled prostaglandin I1 analogs (1)
作者:Sugiura, S.; Kurozumi, S.; Ikegami, S.
来源:J Label Compd Radiopharm 1995,38(2),129-38
合成路线图解说明:

15) The synthesis of the 11beta-tritiated clinprost can be performed as follows: The disilylated compound (XCIII), already reported in Scheme 7, is carefully treated with TBAF in THF and the resulting mixture of 11- and 15-monosilylated compounds is separated by column chromatography over silicagel in hexane/ethylacetate giving the 15-O-silylated compound (CXX), which is oxidized with CrO3/Pyr in dichloromethane yielding the ketonic compound (CXXI). The reduction of (CXXI) with NaB3H4 and CeCl3 in diglyme affords the 11-tritiated compound (CXXII) as an epimeric mixture on the 11-carbon, which was resolved by column chromatography giving enantiomerically pure (CXXII). Finally, this compound is desilylated with TBAF as usual.

参考文献No.432903
标题:Efficient synthesis of isocarbacyclins
作者:Sodeoka, M.; Ogawa, Y.; Mase, T.; Shibasaki, M.
来源:Chem Pharm Bull 1989,37(3),586-598
合成路线图解说明:

1) The reduction of the Corey lactone (I) with diisobutylaluminum hydride (DIBAL) in hexane/toluene gives the lactol (II), which is condensed with 4-carboxybutyltriphenylphosphonium bromide (III) by means of t-BuOK in THF yielding the pentenoic ester (IV). The oxidation of the free hydroxy group of (IV) with pyridinium chlorochromate (PCC) in dichloromethane affords the cyclopentanone (V), which is methylenated with Zn/CH2Br2/TiCl4 in dichloromethane giving compound (VI). The THP ether group of (VI) was selectively eliminated with dimethylaluminum chloride in dichloromethane and protected again with tert-butyldimethylsilyl chloride (TBDMS-Cl) and imidazole in DMF yielding the disilylated compound (VII). The hydrolytic cleavage of the exocyclic double bond of (VII) with 9-borabicyclo[3.3.1]nonane (9-BBN) in THF affords compound (VIII), which is oxidized with Collins reagent (CrO3/Pyr) to the corresponding aldehyde (IX). The cyclization of (IX) by heating at 180 C in toluene in a sealed tube gives the bicyclo[3.3.0]octane (X), still with the double bond in the pentenoic side chain, which is reduced with H2 over Pd/C in methanol yielding the saturated compound (XI). The dehydration of (XI) by mesylation with mesyl chloride and reaction with 1,8-diazabicyclo[5.4.0]undec-7-ene (DBU) in refluxing methanol affords the bicyclo[3.3.0]-2-octene (XII), which is selectively deprotected with pyridinium para-toluenesulfonate (PPTS) in ethanol giving the hydroxymethyl derivative (XIII). The oxidation of (XIII) with SO3/Pyr in DMSO yields the corresponding aldehyde (XIV), which is condensed with dimethyl 2-oxoheptylphosphonate (XV) in THF giving the oxidized isocarbacyclin derivative (XVI). The reduction of the keto group of (XVI) with NaBH4 in methanol yields the corresponding secondary alcohol (XVII) as a mixture of diastereomers. Finally, this compound is deprotected with tetrabutylammonium fluoride (TBAF) in THF and submitted to column chromatography over silicagel in ether/hexane in order to isolate the pure enantiomer.

参考文献No.432904
标题:The intramolecular thermal ene reaction route to (+)-9(O)-methano-DELTA6(9alpha)-PGI1
作者:Ogawa, Y.; Shibasaki, M.
来源:Tetrahedron Lett 1984,25(10),1067-1070
合成路线图解说明:

1) The reduction of the Corey lactone (I) with diisobutylaluminum hydride (DIBAL) in hexane/toluene gives the lactol (II), which is condensed with 4-carboxybutyltriphenylphosphonium bromide (III) by means of t-BuOK in THF yielding the pentenoic ester (IV). The oxidation of the free hydroxy group of (IV) with pyridinium chlorochromate (PCC) in dichloromethane affords the cyclopentanone (V), which is methylenated with Zn/CH2Br2/TiCl4 in dichloromethane giving compound (VI). The THP ether group of (VI) was selectively eliminated with dimethylaluminum chloride in dichloromethane and protected again with tert-butyldimethylsilyl chloride (TBDMS-Cl) and imidazole in DMF yielding the disilylated compound (VII). The hydrolytic cleavage of the exocyclic double bond of (VII) with 9-borabicyclo[3.3.1]nonane (9-BBN) in THF affords compound (VIII), which is oxidized with Collins reagent (CrO3/Pyr) to the corresponding aldehyde (IX). The cyclization of (IX) by heating at 180 C in toluene in a sealed tube gives the bicyclo[3.3.0]octane (X), still with the double bond in the pentenoic side chain, which is reduced with H2 over Pd/C in methanol yielding the saturated compound (XI). The dehydration of (XI) by mesylation with mesyl chloride and reaction with 1,8-diazabicyclo[5.4.0]undec-7-ene (DBU) in refluxing methanol affords the bicyclo[3.3.0]-2-octene (XII), which is selectively deprotected with pyridinium para-toluenesulfonate (PPTS) in ethanol giving the hydroxymethyl derivative (XIII). The oxidation of (XIII) with SO3/Pyr in DMSO yields the corresponding aldehyde (XIV), which is condensed with dimethyl 2-oxoheptylphosphonate (XV) in THF giving the oxidized isocarbacyclin derivative (XVI). The reduction of the keto group of (XVI) with NaBH4 in methanol yields the corresponding secondary alcohol (XVII) as a mixture of diastereomers. Finally, this compound is deprotected with tetrabutylammonium fluoride (TBAF) in THF and submitted to column chromatography over silicagel in ether/hexane in order to isolate the pure enantiomer.

参考文献No.432905
标题:A controlled synthesis of isocarbacyclin
作者:Suzuki, M.; Koyano, H.; Noyori, R.
来源:J Org Chem 1987,52(25),5583-8
合成路线图解说明:

2) The methylenation of the disilylated 5,6-didehydroprostaglandin E2 (XVIII) with Zn/CH2Br2/TiCl4 as before gives the methylene derivative (XIX), which is converted into the hydroxymethyl derivative (XX) with 9-BBN also as before. The oxidation of (XX) with CrO3/Pyr in dichloromethane yields the corresponding aldehyde (XXI), which is treated with [Ph(Me)2Si]2CuCNLi2 [(PDMS)2CuCNLi2] affording the trisilylated compound (XXII). The esterification of the hydroxy group of (XXII) with 3-(trifluoromethyl)benzoyl chloride (XXIII) by means of DMAP in acetonitrile gives the benzoate (XXIV), which is cyclized by means of N-methylcarbazol (NMC) and magnesium perchlorate in THF/water and irradiation with a 500 W UV-lamp giving the bicyclo[3.3.0]octan-3-ylidene derivative (XXV). The selective desilylation of (XXV) with HClO4 in ether/methanol gives the dihydroxycarbacyclin (XXVI), which is finally desilylated and simultaneously isomerized by a treatment with trifluoroacetic acid in dichloromethane affording the expected clinprost. 3) The cyclization of (XXII) to (XXV) can also be performed by treatment of (XXII) with CS2, CH3I and lithium diisopropylamide in THF to give (XXVII), which is then cyclized to (XXV) by means of Bu3SnH and di-tert-butyl peroxide in hot benzene.

参考文献No.432906
标题:The highly potent carbon analog of prostacyclin
作者:Sodeoka, M.; Shibasaki, M.
来源:Chem Lett 1984,4(4),579-82
合成路线图解说明:

5) The unsaturated pentanoic acid methyl ester derivative (XLV) obtained in scheme 16133803a can also be obtained as follows: The reaction of lactol (II) with methyltriphenylphosphonium bromide and t-BuOK in THF, followed by oxidation with PCC in dichloromethane gives the allyl ketone (XLVIII), which is methylenated with Zn/CH2Br2/TiCl4 to yield compound (XLIX). The reaction of (XLIX) with disiamylborane (DSB) and H2O2 hydroxylates the two double bonds, affording compound (L) with two primary hydroxy groups, which are oxidized with oxalyl chloride to the corresponding (LI) with two aldehyde groups. This compound cyclizes to the bicyclic hydroxyaldehyde (LII), which is dehydrated with dibenzylammonium trifluoroacetate to the unsaturated bicyclic aldehyde (LIII). The condensation of (LIII) with 3-carboxypropyltriphenylphosphonium bromide (LIV) by means of t-BuOK in THF followed by methylation with diazomethane gives the bicyclic dienoic ester (LV), which is then selectively reduced to the previously described intermediate (XLV).

参考文献No.432907
标题:Synthesis of 9(O)-methano-DELTA6(9alpha)-PGI1: The highly potent carbon analog of prostacyclin
作者:Shibasaki; Masakatsu; Torisawa; Yasuhiro; Ikegami; Shiro
来源:Tetrahedron Lett 1983,24(33),3493-6
合成路线图解说明:

6) The methylenation of (LVI), (11-O,15-O-bis(tetrahydropyranyl)prostaglandin E2) as an epimeric mixture in the 15-OH, with Zn/CH2Br2/TiCl4 as before gives compound (LVII), which is hydroxylated with 9-BBN and H2O2 as usual to yield compound (LVIII). The iodoetherification of (LVIII) followed by a treatment with DBU in toluene affords the cyclic enol ether (LIX), which is converted into the keto alcohol (LX) in acetic acid/THF/water. Oxidation of (LX) with SO3/Pyr gives the corresponding aldehyde (LXI), which appeared to be unstable and was immediately cyclized with Zn/TiCl4 to the bicyclic diol (LXII). Selective mesylation of (LXII) with mesyl chloride/triethylamine in dichloromethane yields the monomesylate (LXIII), which is cyclized to the epoxide (LXIV) by treatment with DBU in the same solvent. The reaction of epoxide (LXIV) first with NaI/trifluoroacetic anhydride, and then with Zn affords (LXV), the bitetrahydropyranyl derivative of clinprost (as an epimeric mixture in the 15-OH), which is finally deprotected with acetic acid/THF/water and submitted to column chromatography to obtain enantiomerically pure clinprost.

参考文献No.432909
标题:Short synthesis of isocarbacyclin by regioselective SN2' alkylation of bicyclic allylic esters with zinc-copper reagents
作者:Tanaka, T.; Bannai, K.; Hazato, A.; Koga, M.; Kurozumi, S.; Kato, Y.
来源:Tetrahedron 1991,47(10-11),1861-76
合成路线图解说明:

8) The condensation of the cyclopentenone (LXXXI) with the organocuprate (LXXXII) gives the condensed enolate (LXXXIII), which is coupled with 3-(trimethylsilyl)-2-propynyl iodide (LXXXIV) to yield the acetylenic cyclopentanone (LXXXV). The methylenation of (LXXXV) with Zn/CH2Br2/TiCl4 as before gives compound (LXXXVI), which by selective hydroboration as usual is converted into the hydroxymethyl derivative (LXXXVII). The selective desilylation of the protected acetylene of (LXXXVII) affords (LXXXVIII), which is oxidized as usual to the corresponding aldehyde (LXXXIX). The reductive cyclization of (LXXXIX) gives the bicyclic alcohol (XC), which is treated with tosyl chloride and DMAP in dichloromethane to yield (XCI). Finally, this compound is alkylated with methyl 4-iodobutyrate (XCII)/Zn/Cu2(CN)2 in THF affording the bisilylated clinprost derivative (XCIII) that was desilylated with TBAF as usual. 9) The alkylation of the exocyclic methylene double bond of the bicyclic alcohol (XC) can also be performed by treating (XC) first with diethyl chlorophosphate and BuLi, and then with 4-iodobutyrate (XCII)/Zn/Cu2Cl2 in THF to obtain the previously reported bisilylated clinprost (XCIII). 10) The preceding alkylation of bicyclic alcohol (XC) can also be performed using p-toluenesulfonyl chloride instead of diethyl chlorophosphate.

参考文献No.432910
标题:A simple synthesis of (+)-isocarbacyclin via a convergent process
作者:Hashimoto, S.; Shinoda, T.; Ikegami, S.
来源:J Chem Soc Chem Commun 1988,171137-9
合成路线图解说明:

12) The ketalization of (R)-2-(2-oxocyclopentyl)acetic acid methyl ester (XCVII) with butane-2,3-diol gives the expected acetal (XCVIII), which is converted into the beta-keto ester (XCIX) in the usual way. Transesterification of (XCIX) with benzyl alcohol yields the benzyl ester (C), which is converted into the alpha-diazo ester (CI) with p-toluenesulfonyl azide. The cyclization of (CI) by means of rhodium acetate in dichloromethane affords the bicyclic keto ester (CII), which is condensed with 3(S)-(TBDMS-O)-1(E)-octenyl mercury (CIII) by means of lead tetraacetate giving the alkylated bicyclic beta-keto ester (CIV). The decarboxylation of (CIV) with Raney Ni and triethylamine in ethanol yields the bicyclic ketone (CV), which is reduced with NaBH4 and deacetalized with HCl to afford the hydroxy ketone (CVI). The silylation of the hydroxy group of (CVI) with TBDMS-Cl and DMAP in DMF gives the disilylated ketone (CVII), which is treated with diphenyl disulfide and lithium bis(trimethylsilyl)amide in THF/HMPT yielding the sulfenylated enol (CVIII). The oxidation of (CVIII) with m-chloroperbenzoic acid (MCPBA) affords the corresponding sulfonated enol (CIX), which is condensed with methyl 4-iodobutyrate (CX) by means of t-BuOK in DMSO giving the dialkylated bicyclic ketone (CXI). The reduction of (CXI) with NaBH4 in methanol, followed by mesylation with mesyl chloride yields the alpha-mesyloxy sulfone (CXII), which by a reductive elimination with Na-Hg in methanol is converted into the bisilylated clinprost (XCIII). Finally, this compound is desilyated with TBAF as usual.

参考文献No.432911
标题:Syntheses of di-tritiated 9(O)-methane-DELTA6(9alpha)-prostaglandin I1 methyl esters
作者:Manabe, K.; Tanaka, T.; Kurozumi, S.; Kato, Y.
来源:J Label Compd Radiopharm 1991,29(10),1107-19
合成路线图解说明:

13) The synthesis of the 17,18-ditritiated clinprost can be performed as follows: The reduction of the bicyclic aldehyde (LIII) described in Scheme 4 with NaBH4 in methanol gives the hydroxymethyl derivative (CXIII), which is esterified with methyl chloroformate yielding the carbonate ester (CXIV). The condensation of (CXIV) with 4,4-bis(phenylsulfonyl)butyric acid methyl ester (XCV) catalyzed by a palladium complex in THF affords the expected alkylation product (CXV), which is treated with Mg in methanol to eliminate the phenylsulfonyl groups, giving the unsaturated pentanoic acid methyl ester derivative (XLV) already obtained in Scheme 3. The desilylation of (XLV) with TBAF followed by oxidation with SO3/Pyr yields the aldehyde (XLVI), also reported in Scheme 3. The reaction of (XLVI) with dimethyl 2-oxo-4(Z)-heptenylphosphate (CXVI) by means of NaH in THF affords the expected condensation product (CXVII), which is regioselectively reduced with LiAlH4 in THF in the presence of (S)-(-)-binaphthol to give the (Z)-17,18-didehydro-11-O-tetrahydropyranylclinprost (CXVIII). Elimination of the THP group of (CXVIII) with acetic acid in THF/water yields the (Z)-17,18-didehydroclinprost (CXIX), which is finally tritiated by hydrogenation with tritium gas in benzene/cyclohexane using tris(triphenylphosphine)rhodium(I) chloride as catalyst. 14) If the final reduction of (CXIX) is performed with hydrogen gas in benzene/cyclohexane containing cyclododecene and in the presence of a Pd/C catalyst, clinprost is obtained.

参考文献No.800974
标题:Flexible synthesen optisch aktiver isocarbacycline
作者:Hemmerle, H.; Gais, H.-J.
来源:Angew Chem 1989,101362-5
合成路线图解说明:

4) The protection of the bicyclic lactone (XXVIII) with dihydropyran and PPTS in THF gives the bistetrahydropyranyl ether (XXIX), which is reduced with DIBAL in THF to the lactol (XXX). The reaction of (XXX) with bromomagnesium acetylide in THF yields (XXXI), which is selectively benzoylated with benzoyl chloride and pyridine affording the monobenzoyl ester (XXXII). The silylation of the secondary hydroxy group of (XXXII) with TBDMS-Cl and imidazole in THF gives the fully protected compound (XXXIII), which is treated with KOH in methanol in order to eliminate the benzoyl group, yielding the hydroxymethyl derivative (XXXIV). The reaction of (XXXIV) with mesyl chloride and triethylamine in dichloromethane affords the mesylate (XXXV), which is cyclized by means of NaI, AIBN and tributyltin hydride in hot glyme giving the bicyclo[3.3.0]octane (XXXVI). The desilylation of (XXXVI) with TBAF and triethylamine in THF yields compound (XXXVII) with a secondary hydroxy group, which is acetylated with acetic anhydride to the acetate (XXXVIII). The condensation of (XXXVIII) with the copper derivative (XXXIX) affords the silylated pentanol derivative (XL), which is deprotected with TBAF and triethylamine in THF to the free pentanol derivative (XLI). The oxidation of (XLI) with SO3/Pyr in DMSO gives the corresponding aldehyde (XLII), which is further oxidized with Ag2O and NaOH in ethanol, and esterified with diazomethane yielding the methyl ester (XLIII). The deprotection of (XLIII) with PPTS in methanol, followed by selective silylation of the primary alcohol with TBDMS-Cl affords the monosilylated compound (XLIV), which is treated with dihydropyran and PPTS in order to protect the secondary hydroxy group yielding (XLV). The desilylation of (XLV) with TBAF, followed by oxidation of the primary alcohol with SO3/Pyr gives the corresponding aldehyde (XLVI), which is condensed with the previously described phosphonate (XV) by means of NaH in glyme affording the ketonic prostacycline (XLVII). Finally, this compound is deprotected with PPTS in methanol and reduced with diisobutylaluminum 2,6-di-tert-butylphenolate giving a mixture of diastereomers that is separated by column chromatography.

参考文献No.800979
标题:
作者:Park, H.; Lee, Y.S.; Shim, S.C.
来源:Bull Korean Chem Soc 1993,1486-91
合成路线图解说明:

7) The regio- and stereoselective carboxylation of the tricyclic ketone (LXVI) with dimethyl carbonate by means of t-BuOK in THF gives the keto ester (LXVII), which by treatment with acetic acid/H2SO4 is converted into the acetoxy keto ester (LXVIII). The reduction of (LXVIII) with NaBH4 in methanol followed by reaction with dihydropyran/PPTS yields the tetrahydropyranyl ether (LXIX), which is deacetylated with K2CO3 in methanol, and the resulting alcohol is protected again with TBDPS-Cl and imidazole in DMF to afford the protected dihydroxy ester (LXX). The reduction of (LXX) with DIBAL, followed by oxidation with CrO3/Pyr gives the aldehyde (LXXI), which is condensed with dimethyl 2-oxoheptylphosphonate (XV) by means of NaH in THF yielding the bicyclic enone (LXXII). Selective elimination of the THP group, followed by reduction of the keto group with DIBAL in toluene and flash column chromatography affords the diol (LXXIII) as a pure enantiomer. Protection of the two hydroxy groups with dihydropyran/PPTS, followed by desilylation with TBAF in THF gives the bicyclic alcohol (LXXIV), which is oxidized with CrO3/Pyr in DMF to the corresponding ketone (LXXV). The condensation of (LXXV) with 4-formylbutyric acid methyl ester (LXXVI) by means of lithium diisopropylamide in THF yields the oxocarbacycline derivative (LXXVII). The reductoisomerization of the enone (LXXVII) with NaBH4/CeCl4 in methanol affords the hydroxylated isocarbacycline derivative (LXXVIII), which is treated with phenoxythionocarbonyl chloride and DMAP to give the thiocarbonate (LXXIX) [intermediate for the elimination of the hydroxy group of (LXXVIII)]. The reductive cleavage of (LXXIX) with Bu3SnH/AIBN in refluxing benzene yields the bitetrahydropyranyl derivative of clinprost (LXXX), which is finally deprotected with acetic acid/THF/water.

Drug Information Express,Drug R&D,Chemical Database,Patent Search.
Copyright © 2006-2026 Drug Future. All rights reserved.Contact Us