【药物名称】FG-9202, NBQX
化学结构式(Chemical Structure):
参考文献No.8995
标题:Heterocyclic cpds. and their preparation and use
作者:Jacobsen, P.; Nielsen, F.E.; Honore, T. (Ferrosan A/S)
来源:AU 8813260; EP 0283959; US 4889855; US 4912108
合成路线图解说明:

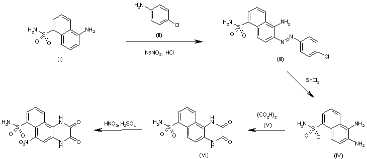
The condensation of 5-aminonaphthalene-1-sulfonamide (I) with 4-chloroaniline (II) by means of diazotation with NaNO2 and HCl gives 5-amino-6-(4-chlorophenylazo)naphthalene-1-sulfonamide (III), which is reduced with SnCl2 in conc. HCl to yield 5,6-diaminonaphthalene-1-sulfonamide (IV). The cyclization of (IV) with oxalic acid (V) in refluxing 2N HCl affords 2,3-dioxo-1,2,3,4-tetrahydrobenzo[f]quinoxaline-7-sulfonamide (VI), which is finally treated with HNO3 and conc. H2SO4 to provide the target nitro-sulfonamide.

Drug Information Express,Drug R&D,Chemical Database,Patent Search.
Copyright © 2006-2026 Drug Future. All rights reserved.Contact Us