【药物名称】Apomine, SR-45023A, SR-9223i, SK&F-99085
化学结构式(Chemical Structure):
参考文献No.11477
标题:Phenol substd. gem-diphosphonate derivs., process for their preparation and pharmaceutical compsns. containing them
作者:Nguyen, L.; Niesor, E.; Phan, H.; Maechler, P.; Bentzen, C. (Ilex Oncology Research-Europe SA)
来源:CH 675422; EP 0339237; JP 1990022285; US 5043330; US 5128331
合成路线图解说明:

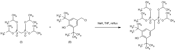
The title compound was prepared by several related methods. The sodium salt generated from tetraisopropyl methylenediphosphonate (I) and NaH was alkylated with 3,5-di-t-butyl-4-hydroxybenzyl chloride (II) in refluxing THF to afford the target arylethyl diphosphonate

参考文献No.55748
标题:A process for the preparation of diphosphonate derivs.
作者:Grinter, T.J.; Harris, M.A.; Hayler, J.D.; Negus, A. (Ilex Oncology Research-Europe SA)
来源:WO 9731004
合成路线图解说明:

The title compound was prepared by several related methods. The sodium salt generated from tetraisopropyl methylenediphosphonate (I) and NaH was alkylated with 3,5-di-t-butyl-4-hydroxybenzyl chloride (II) in refluxing THF to afford the target arylethyl diphosphonate

合成路线图解说明:

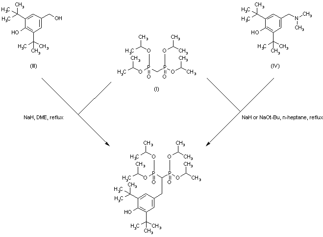
Alternatively, tetraisopropyl methylenediphosphonate (I) was alkylated with the benzyl alcohol (III) or with the dimethyl benzylamine (IV) in the presence of strong bases such as NaH or NaO-t-Bu

合成路线图解说明:

In a related procedure, the dimethyl benzylamine (IV) was quaternized with iodomethane, and the resultant ammonium salt (V) was then condensed with the sodium salt of diphosphonate (I) (1). Other reported alkylating reagents included the bis-benzyl methyl amine (VII), prepared by Mannich reaction of methylamine with 2,6-di-t-butylphenol (VI) and formaldehyde, and the tris-benzyl amine (VIII), prepared by alkylation of ammonia with the benzyl chloride (II)

合成路线图解说明:

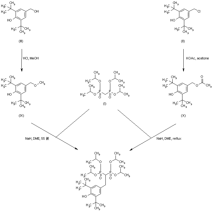
In a further method, condensation of benzyl alcohol (III) with methanol in the presence of a catalytic amount of HCl afforded the corresponding methyl ether (IX), which was then reacted with diphosphonate (I) in the presence of NaH to furnish the target arylethyl diphosphonate (1). Optionally, diphosphonate (I) was condensed with the benzyl acetate ester (X), prepared from benzyl chloride (II) and potassium acetate in acetone

Drug Information Express,Drug R&D,Chemical Database,Patent Search.
Copyright © 2006-2026 Drug Future. All rights reserved.Contact Us