【药物名称】E-4031
化学结构式(Chemical Structure):
参考文献No.7004
标题:Piperidine deriv., pharmaceutical compsn. containing the same and use
作者:Oinuma, H.; Yamanaka, M.; Miyake, K.; Hoshiko, T.; Minami, N.; Shoji, T.; Daiku, Y.; Sawada, K.; Nomoto, K. (Eisai Co., Ltd.)
来源:EP 0235752; US 4876262; US 4996215; US 5118689; US 5179095
合成路线图解说明:

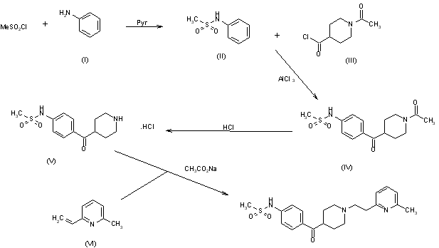
The mesylation of aniline (I) with methanesulfonyl chloride gives the sulfonamide (II), which is condensed with 1-acetylpiperidine-4-carbonyl chloride (III) by means of AlCl3 in dichloromethane to give N-[4-(1-acetylpiperidin-4-ylcarbonyl)phenyl]methanesulfonamide (IV). Deacetylation of (IV) with HCl in water yields the piperidine (V), which is finally condensed with 2-methyl-6-vinylpyridine by means of sodium acetate in methanol - water. The same procedure has been performed with [14C]-labeled aniline in order to obtain [14C]-labeled E-4031.

参考文献No.111773
标题:4'-[(4-Piperidyl)carbonyl]methanesulfonanilides as potent, selective, bioavailable class III antiarrhythmic agents
作者:Oinuma, H.; Miyake, K.; Yamanaka, M.; Nomoto, K.-I.; Katoh, H.; Sawada, K.; Shino, M.; Hamano, S.
来源:J Med Chem 1990,33(3),903
合成路线图解说明:

The mesylation of aniline (I) with methanesulfonyl chloride gives the sulfonamide (II), which is condensed with 1-acetylpiperidine-4-carbonyl chloride (III) by means of AlCl3 in dichloromethane to give N-[4-(1-acetylpiperidin-4-ylcarbonyl)phenyl]methanesulfonamide (IV). Deacetylation of (IV) with HCl in water yields the piperidine (V), which is finally condensed with 2-methyl-6-vinylpyridine by means of sodium acetate in methanol - water. The same procedure has been performed with [14C]-labeled aniline in order to obtain [14C]-labeled E-4031.

参考文献No.177237
标题:E-4031
作者:Casta馿r, J.; Prous, J.
来源:Drugs Fut 1992,17(6),455
合成路线图解说明:

The mesylation of aniline (I) with methanesulfonyl chloride gives the sulfonamide (II), which is condensed with 1-acetylpiperidine-4-carbonyl chloride (III) by means of AlCl3 in dichloromethane to give N-[4-(1-acetylpiperidin-4-ylcarbonyl)phenyl]methanesulfonamide (IV). Deacetylation of (IV) with HCl in water yields the piperidine (V), which is finally condensed with 2-methyl-6-vinylpyridine by means of sodium acetate in methanol - water. The same procedure has been performed with [14C]-labeled aniline in order to obtain [14C]-labeled E-4031.

参考文献No.178476
标题:Synthesis of antiarrhythmic [phenyl-14C]4'-[(4-piperidyl)carbonyl]methanesulfonanilides
作者:Shino, M.; Oinuma, H.; Hamano, S.; Miyake, K.; Yamanaka, M.
来源:J Label Compd Radiopharm 1990,28(8),921
合成路线图解说明:

The mesylation of aniline (I) with methanesulfonyl chloride gives the sulfonamide (II), which is condensed with 1-acetylpiperidine-4-carbonyl chloride (III) by means of AlCl3 in dichloromethane to give N-[4-(1-acetylpiperidin-4-ylcarbonyl)phenyl]methanesulfonamide (IV). Deacetylation of (IV) with HCl in water yields the piperidine (V), which is finally condensed with 2-methyl-6-vinylpyridine by means of sodium acetate in methanol - water. The same procedure has been performed with [14C]-labeled aniline in order to obtain [14C]-labeled E-4031.

Drug Information Express,Drug R&D,Chemical Database,Patent Search.
Copyright © 2006-2026 Drug Future. All rights reserved.Contact Us