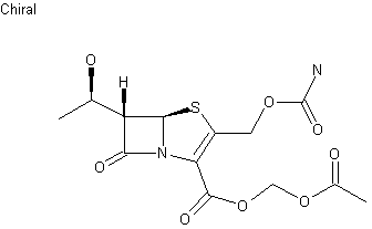
【药物名称】Ritipenem acoxil, FC/TA-891, FCE-22891, Penemac
化学结构式(Chemical Structure):
参考文献No.111817
标题:Synthesis and biological properties of sodium (5R,6S, 8R)-6alpha-hydroxyethyl-2-carbamoyloxymethyl-2-penem-3-carboxylate (FCE 22101) and its orally absorbed esters FCE 22553 and FCE 22891
作者:Franceschi, G.; Foglio, M.; Alpegiani, M.; Battistini, C.; Bedeschi, A.; Perrone, E.; Zarini, F.; Arcamone, F.; Della Bruna, C.; Sanfilippo, A.
来源:J Antibiot 1983,36(7),938-41
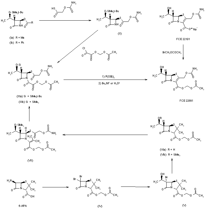
合成路线图解说明:

The synthetic route from 8-aminopenicillanic acid (6-APA) to title compound is depicted in scheme. Diazotization of 6-APA (I) in the presence of Br2, followed by conventional esterification (MeI), gives the dibromopenicillanate (II), whose magnesium enolate (EtMgBr) is condensed with acetaldehyde to stereoselectively afford the bromohydrin (III). Debromination (Zn/MeOH) gives the trans-penicillanate (VI), which, via a two-step demolition of the thiazolidine ring [Hg(OAc)2, then KMnO4], is converted to the key azetidinone intermediate (IX). Acetate displacement with a suitable rhioacid (prepared trom glycolic acid after silylation of the hydroxy group) yields (XI). N-Oxalylation of the latter, followed by an original phosphite-mediated dicarbonyl coupling, gives the penem (XIV). Selective deblocking of the primary hydroxyl (Bu4NF) and exposure to trichloroacetylisocyanate results in the fully protected precursor (XVI), with is first unmasked in positions 2,8 (Bu4NF) and then in position 3 (Pd(0)-catalyzed deallylation in the presence of Na ethylhexanoate) to afford the sodium salt (FCE-22101).

合成路线图解说明:

FCE 22891 in the ester prodrug formulation of FCE 22101. Reaction of the latter (sodium salt) with acetoxymethyl bromide (DMF) is the traditional synthetic route to FCE 22891. This route is also the preferred one as long as manufacturing involves both compounds (the reverse process, conversion of FCE 22891 into the parent acid FCE 22101, can be conveniently realized by enzymic hydrolysis catalyzed by porcine liver esterase or lipase A6 from Aspergillus niger). Direct synthesis of FCE 22891 can be performed using two major strategies. The total synthetic approaches start from chiral amino or hydroxy acids (threonine, 3-hydroxybutyric acid) and have (3R,4R)-4-acetoxy-3-[(R)-1-hydroxyethyl]-2-oxo-1H-azetidine (Ia) or its 4-benzoyloxy analogue (Ib), usually protected as the tert-butyldimethylsilyl ethers, as common intermediates. These compounds, in particular (Ia), can also be found on the market (Kaneka). Reaction of either (Ia) or (Ib) with the sodium salt of 2-carbamoyloxyethanethioic acid gives the azetidinone thiolester (II), which is condensed with acetoxymethyl oxalyl chloride. Reductive carbonyl condensation (triethyl phosphite, refluxing toluene) and desilylation (tetrabutylammonium fluoride buffered with acetic acid) affords FCE 22891. The hemisynthetic route utilizes 6-APA as a chiral template. Introduction of the alpha-hydroxyethyl chain on the penam nucleus is satisfactorily achieved by deaminative bromination, metal exchange with EtMgBr, aldol reaction (acetaldehyde, THF, -70 C) and reductive dehalogenation (Zn-AcOH), MeOH, -10 C). During this process, the acetoxymethyl promoiety characterizing the final product is conveniently introduced. According to an original procedure, beta-eliminative ring opening of the thiazolidine ring (AgCl/DBN) and in situ acylation of the intermediate silver mercaptide with carbamoyloxyacetyl chloride affords the key azetidone thioester (VII). Ozonolysis (CH2Cl2, -50 C) and reductive carbonyl condensation completes the sequence, without resorting to protective groups other than trimethylsilyl, which is removed at the end by simple acidic work-up.

参考文献No.135415
标题:FCE 22891
作者:Perrone, E.
来源:Drugs Fut 1991,16(4),313
合成路线图解说明:

FCE 22891 in the ester prodrug formulation of FCE 22101. Reaction of the latter (sodium salt) with acetoxymethyl bromide (DMF) is the traditional synthetic route to FCE 22891. This route is also the preferred one as long as manufacturing involves both compounds (the reverse process, conversion of FCE 22891 into the parent acid FCE 22101, can be conveniently realized by enzymic hydrolysis catalyzed by porcine liver esterase or lipase A6 from Aspergillus niger). Direct synthesis of FCE 22891 can be performed using two major strategies. The total synthetic approaches start from chiral amino or hydroxy acids (threonine, 3-hydroxybutyric acid) and have (3R,4R)-4-acetoxy-3-[(R)-1-hydroxyethyl]-2-oxo-1H-azetidine (Ia) or its 4-benzoyloxy analogue (Ib), usually protected as the tert-butyldimethylsilyl ethers, as common intermediates. These compounds, in particular (Ia), can also be found on the market (Kaneka). Reaction of either (Ia) or (Ib) with the sodium salt of 2-carbamoyloxyethanethioic acid gives the azetidinone thiolester (II), which is condensed with acetoxymethyl oxalyl chloride. Reductive carbonyl condensation (triethyl phosphite, refluxing toluene) and desilylation (tetrabutylammonium fluoride buffered with acetic acid) affords FCE 22891. The hemisynthetic route utilizes 6-APA as a chiral template. Introduction of the alpha-hydroxyethyl chain on the penam nucleus is satisfactorily achieved by deaminative bromination, metal exchange with EtMgBr, aldol reaction (acetaldehyde, THF, -70 C) and reductive dehalogenation (Zn-AcOH), MeOH, -10 C). During this process, the acetoxymethyl promoiety characterizing the final product is conveniently introduced. According to an original procedure, beta-eliminative ring opening of the thiazolidine ring (AgCl/DBN) and in situ acylation of the intermediate silver mercaptide with carbamoyloxyacetyl chloride affords the key azetidone thioester (VII). Ozonolysis (CH2Cl2, -50 C) and reductive carbonyl condensation completes the sequence, without resorting to protective groups other than trimethylsilyl, which is removed at the end by simple acidic work-up.

Drug Information Express,Drug R&D,Chemical Database,Patent Search.
Copyright © 2006-2026 Drug Future. All rights reserved.Contact Us