【药物名称】Midesteine, MR-889
化学结构式(Chemical Structure):
参考文献No.147007
标题:MR-889
作者:Quadro, G.
来源:Drugs Fut 1990,15(10),997
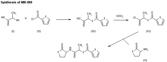
合成路线图解说明:

Triethylamine is added to thiolactic acid (I) and 2-thiophencarbonyl chloride (II) in tetrahydrofuran. Mix is cooled at -5 C under agitation and thionyl chloride is added keeping the temperature between 0 and 10 C. A solution of homocysteine thiolactone hydrochloride and triethylamine in water is then added to the reaction, keeping the temperature below 10 C. The reaction is carried out for 1 h at room temperature under agitation, after which the solvent is evaporated at reduced pressure. Water is used to wash and diethyl ether to extract. The organic phase is dried on Na2SO4 anhydrous and the solvent is eliminated at reduced pressure. The raw product obtained from a mix of dichloromethane/diethyl ether (60/40) is crystallized (MR-889).

Drug Information Express,Drug R&D,Chemical Database,Patent Search.
Copyright © 2006-2026 Drug Future. All rights reserved.Contact Us