【药物名称】Adatanserin hydrochloride, WAY-SEB-324, SEB-324, Wy-50324
化学结构式(Chemical Structure):
参考文献No.11565
标题:Aryl- and heteroaryl piperazinyl carboxamides having CNS activity
作者:Abou-Gharbia, M.A.-M.; Yardley, J.P.; Childers, W.E. Jr. (American Home Products Corp.)
来源:AU 8935025; EP 0343961; JP 1990015059
合成路线图解说明:

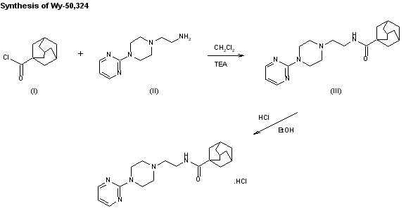
Adamantane-1-carboxylic acid chloride (freshly prepared from the reaction of thionyl chloride (I) with the adamantane-1-carboxylic acid) was reacted with 1-(2-aminoethyl)-4-(2-pyrimidinyl)piperazine (II) in CH2Cl2 in the presence of triethylamine (TEA) to afford Wy-50,324 free base in 70% (III) yield which was converted to the hydrochloride salt using ethanolic HCl solution.

参考文献No.147140
标题:Wy-50,324
作者:Abou-Gharbia, M.; Moyer, J.A.
来源:Drugs Fut 1990,15(11),1093
合成路线图解说明:

Adamantane-1-carboxylic acid chloride (freshly prepared from the reaction of thionyl chloride (I) with the adamantane-1-carboxylic acid) was reacted with 1-(2-aminoethyl)-4-(2-pyrimidinyl)piperazine (II) in CH2Cl2 in the presence of triethylamine (TEA) to afford Wy-50,324 free base in 70% (III) yield which was converted to the hydrochloride salt using ethanolic HCl solution.

参考文献No.560986
标题:Synthesis and SAR of adatanserin: Novel adamantyl aryl- and heteroarylpiperazines with dual serotonin 5-HT1A and activity as potential anxiolytic and antidepressant agents
作者:Abou-Gharbia, M.A.; Childers, W.E. Jr.; Fletcher, H.; McGaughey, G.; Patel, U.; Webb, M.B.; Yardley, J.; Andree, T.; Boast, C.; Kucharik, R.J. Jr.; Marquis, K.; Morris, H.; Scerni, R.; Moyer, J.A.
来源:J Med Chem 1999,42(25),5077
合成路线图解说明:

Adamantane-1-carboxylic acid chloride (freshly prepared from the reaction of thionyl chloride (I) with the adamantane-1-carboxylic acid) was reacted with 1-(2-aminoethyl)-4-(2-pyrimidinyl)piperazine (II) in CH2Cl2 in the presence of triethylamine (TEA) to afford Wy-50,324 free base in 70% (III) yield which was converted to the hydrochloride salt using ethanolic HCl solution.

Drug Information Express,Drug R&D,Chemical Database,Patent Search.
Copyright © 2006-2026 Drug Future. All rights reserved.Contact Us