【药物名称】Candoxatril, UK-79300
化学结构式(Chemical Structure):
参考文献No.50675
标题:Enantiomeric glutaramide diuretic agents
作者:Williams, M.T.; Danilewicz, J.C. (Pfizer Inc.)
来源:EP 0342850
合成路线图解说明:

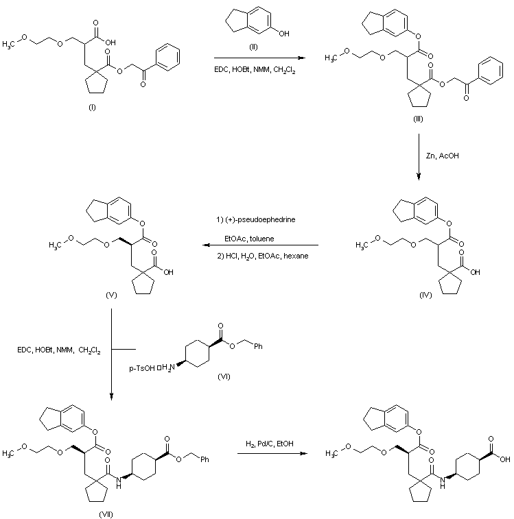
The known 2-(2-methoxyethoxymethyl)-3-[1-(phenacyloxycarbonyl)cyclopentyl]propanoic acid (I) was esterified with 5-indanol (II) by using EDC and HOBt to afford the indanyl ester (III). The phenacyl ester group was then reductively cleaved with Zn in HOAc to yield the racemic carboxylic acid (IV). Resolution of (IV) by means of (+)-pseudoephedrine provided the (S)-enantiomer (V). The chiral acid (V) was then coupled with benzyl cis-4-amino-1-cyclohexancarboxylate (VI) in the presence of EDC and HOBt to furnish amide (VII). The benzyl ester group of (VII) was finally cleaved by hydrogenolysis over Pd/C to give the title compound.

Drug Information Express,Drug R&D,Chemical Database,Patent Search.
Copyright © 2006-2026 Drug Future. All rights reserved.Contact Us