【药物名称】Linotroban, HN-11500, CL-871502
化学结构式(Chemical Structure):
参考文献No.11999
标题:Novel 2-thienyloxyacetic acid derivs., a process for their preparation and pharmaceutical preparations containing them
作者:Binder, D.; Rovensky, F.; Ferber, H.P. (CL Pharma; Nycomed Pharma)
来源:EP 0284892; US 4877809
合成路线图解说明:

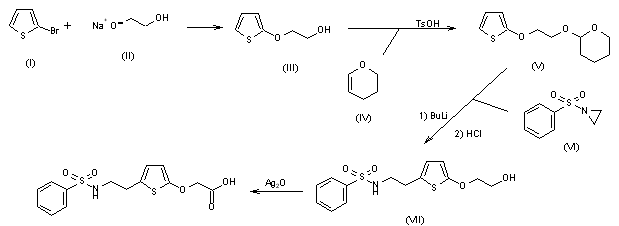
The reaction of 2-bromothiophene (I) with the monosodium salt of ethylene glycol (II) in the same solvent gives 2-(2-hydroxyethoxy)thiophene (III), which is condensed with 3,4-dihydro-2H-pyran (IV) by means of p-toluenesulfonic acid in THF yielding the corresponding tetrahydropyranyl ether (V). The reaction of (V) with N-(benzenesulfonyl)aziridine (VI) by means of BuLi in THF - hexane affords N-[2-[5-(2-hydroxyethoxy)thien-2-yl]ethyl]benzenesulfonamide (VII), which is finally oxidized with silver oxide in aqueous NaOH.

参考文献No.267651
标题:Linotroban
作者:Casta馿r, J.; Prous, J.; Graul, A.
来源:Drugs Fut 1994,19(10),913
合成路线图解说明:

The reaction of 2-bromothiophene (I) with the monosodium salt of ethylene glycol (II) in the same solvent gives 2-(2-hydroxyethoxy)thiophene (III), which is condensed with 3,4-dihydro-2H-pyran (IV) by means of p-toluenesulfonic acid in THF yielding the corresponding tetrahydropyranyl ether (V). The reaction of (V) with N-(benzenesulfonyl)aziridine (VI) by means of BuLi in THF - hexane affords N-[2-[5-(2-hydroxyethoxy)thien-2-yl]ethyl]benzenesulfonamide (VII), which is finally oxidized with silver oxide in aqueous NaOH.

Drug Information Express,Drug R&D,Chemical Database,Patent Search.
Copyright © 2006-2026 Drug Future. All rights reserved.Contact Us