【药物名称】CMDA
化学结构式(Chemical Structure):
参考文献No.202806
标题:CMDA
作者:Springer, C.J.
来源:Drugs Fut 1993,18(3),212
合成路线图解说明:

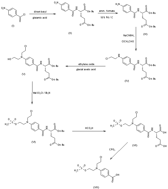
The synthesis of CMDA (VII) was accomplished using a modified version of the published procedures: The di-tert-butyl 4-nitrobenzoyl-L-glutamate (II) was reduced to di-tert-butyl 4-aminobenzoyl-L-glutamate (III) using transfer hydrogenation. The reductive amination of (III) with chloroethanal yielded the monofunctional di-tert-butyl 4-[(2-chloroethyl)amino]benzoyl-L-glutamate (IV), which was N-alkylated with ethylene oxide to give di-tert-butyl 4-[(2-chloroethyl)(2-hydroxyethyl)amino]benzoyl-L-glutamate (V). Reaction of (V) with methanesulfonyl chloride at 5 C yielded di-tert-butyl 4-[(2-chloroethyl)[2-(mesyloxy)ethyl]amino]benzoyl-L-glutamate (VI). Treatment of (VI) with formic acid followed by lyophilization gave the diacid, 4-[(2-chloroethyl)[2-(mesyloxy)ethyl]amino]benzoyl-L-glutamic acid (VII).

参考文献No.206130
标题:Novel prodrugs which are activated to cytotoxic alkylating agents by carboxypeptidase G2
作者:Springer, C.J.; Antoniw, P.; Bagshawe, K.D.; Searle, F.; Bisset, G.M.F.; Jarman, M.
来源:J Med Chem 1990,33(2),677-81
合成路线图解说明:

The synthesis of CMDA (VII) was accomplished using a modified version of the published procedures: The di-tert-butyl 4-nitrobenzoyl-L-glutamate (II) was reduced to di-tert-butyl 4-aminobenzoyl-L-glutamate (III) using transfer hydrogenation. The reductive amination of (III) with chloroethanal yielded the monofunctional di-tert-butyl 4-[(2-chloroethyl)amino]benzoyl-L-glutamate (IV), which was N-alkylated with ethylene oxide to give di-tert-butyl 4-[(2-chloroethyl)(2-hydroxyethyl)amino]benzoyl-L-glutamate (V). Reaction of (V) with methanesulfonyl chloride at 5 C yielded di-tert-butyl 4-[(2-chloroethyl)[2-(mesyloxy)ethyl]amino]benzoyl-L-glutamate (VI). Treatment of (VI) with formic acid followed by lyophilization gave the diacid, 4-[(2-chloroethyl)[2-(mesyloxy)ethyl]amino]benzoyl-L-glutamic acid (VII).

参考文献No.206131
标题:Synthesis of an N-mustard prodrug
作者:Springer, C.J.; Mann, J.; Bagshawe, K.D.; Haase-Held, M.
来源:Tetrahedron 1990,465377-82
合成路线图解说明:

The synthesis of CMDA (VII) was accomplished using a modified version of the published procedures: The di-tert-butyl 4-nitrobenzoyl-L-glutamate (II) was reduced to di-tert-butyl 4-aminobenzoyl-L-glutamate (III) using transfer hydrogenation. The reductive amination of (III) with chloroethanal yielded the monofunctional di-tert-butyl 4-[(2-chloroethyl)amino]benzoyl-L-glutamate (IV), which was N-alkylated with ethylene oxide to give di-tert-butyl 4-[(2-chloroethyl)(2-hydroxyethyl)amino]benzoyl-L-glutamate (V). Reaction of (V) with methanesulfonyl chloride at 5 C yielded di-tert-butyl 4-[(2-chloroethyl)[2-(mesyloxy)ethyl]amino]benzoyl-L-glutamate (VI). Treatment of (VI) with formic acid followed by lyophilization gave the diacid, 4-[(2-chloroethyl)[2-(mesyloxy)ethyl]amino]benzoyl-L-glutamic acid (VII).

Drug Information Express,Drug R&D,Chemical Database,Patent Search.
Copyright © 2006-2026 Drug Future. All rights reserved.Contact Us