【药物名称】Osutidine, T-593
化学结构式(Chemical Structure):
参考文献No.11949
标题:Amine deriv. and its salts and antiulcer agent containing the same
作者:Hirai, S.; Hirano, H.; Arai, H.; Shibata, H.; Kusayanagi, Y.; Hashiba, K. (Toyama Chemical Co., Ltd.)
来源:CH 675244; DE 3828869; US 4871765
合成路线图解说明:

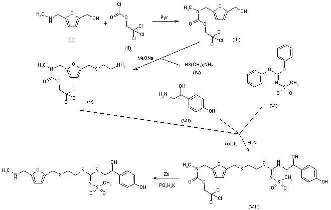
The acylation of 5-(methylaminomethyl)furan-2-methanol (I) with 2,2,2-trichloroethyl chloroformate (II) and pyridine in dichloromethane gives the corresponding N-acyl derivative (III), which is condensed with 2-mercaptoethylamine (IV) by means of sodium methoxide in methanol to yield the thioether (V). The condensation of (V) with diphenyl methanesulfonimidocarbonate (VI) and 2-hydroxy-2-(4-hydroxyphenyl)ethylamine (VII) by means of potassium acetate and triethylamine in acetonitrile - propanol affords the protected final product (VIII), which is finally deprotected by treatment with activated Zn and potassium dihydrogen phosphate.

参考文献No.215681
标题:T-593
作者:Casta馿r, J.; Prous, J.; Mealy, N.
来源:Drugs Fut 1993,18(9),809
合成路线图解说明:

The acylation of 5-(methylaminomethyl)furan-2-methanol (I) with 2,2,2-trichloroethyl chloroformate (II) and pyridine in dichloromethane gives the corresponding N-acyl derivative (III), which is condensed with 2-mercaptoethylamine (IV) by means of sodium methoxide in methanol to yield the thioether (V). The condensation of (V) with diphenyl methanesulfonimidocarbonate (VI) and 2-hydroxy-2-(4-hydroxyphenyl)ethylamine (VII) by means of potassium acetate and triethylamine in acetonitrile - propanol affords the protected final product (VIII), which is finally deprotected by treatment with activated Zn and potassium dihydrogen phosphate.

参考文献No.221980
标题:Synthesis of beta-hydroxyphenethyl-based compounds and their physico-chemical properties and structural features
作者:Shibata, H.; Hirai, N.; Kusayanagi, K.; Arai, H.; Hirano, H.
来源:113th Annu Meet Pharmaceut Soc Jpn (March 29-31, Osaka) 1993,Abst 29PB 10-28
合成路线图解说明:

The acylation of 5-(methylaminomethyl)furan-2-methanol (I) with 2,2,2-trichloroethyl chloroformate (II) and pyridine in dichloromethane gives the corresponding N-acyl derivative (III), which is condensed with 2-mercaptoethylamine (IV) by means of sodium methoxide in methanol to yield the thioether (V). The condensation of (V) with diphenyl methanesulfonimidocarbonate (VI) and 2-hydroxy-2-(4-hydroxyphenyl)ethylamine (VII) by means of potassium acetate and triethylamine in acetonitrile - propanol affords the protected final product (VIII), which is finally deprotected by treatment with activated Zn and potassium dihydrogen phosphate.

Drug Information Express,Drug R&D,Chemical Database,Patent Search.
Copyright © 2006-2026 Drug Future. All rights reserved.Contact Us