【药物名称】BRL-35135A
化学结构式(Chemical Structure):
参考文献No.16726
标题:Ethanamine derivs., their preparation and use in pharmaceutical compsns
作者:Ainsworth, A.T.; Smith, D.G. (SmithKline Beecham plc)
来源:EP 0023385
合成路线图解说明:

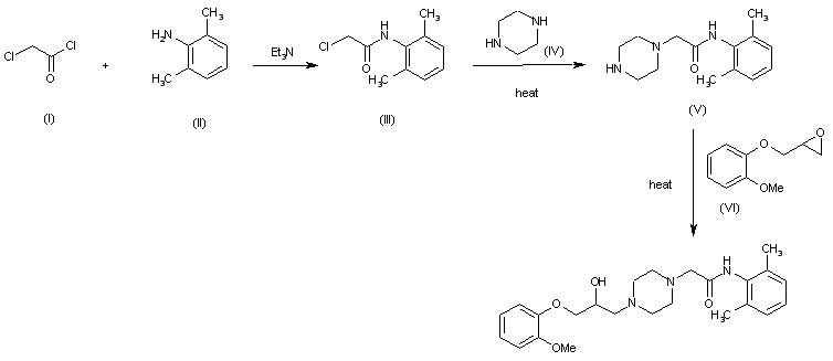
1) The acylation of 2,6-dimethylaniline (II) with chloroacetyl chloride by means of triethylamine in dichloromethane gives N-(2,6-dimethylphenyl) chloroacetamide (III), which is condensed with piperidine (IV) in refluxing ethanol to yield N-(2,6-dimethylphenyl)-2-piperazinoacetamide IV). Finally, this compound is condensed with 3-(2-methoxyphenoxy)-12-epoxypropane (VI) in refluxing methanol toluene.

合成路线图解说明:

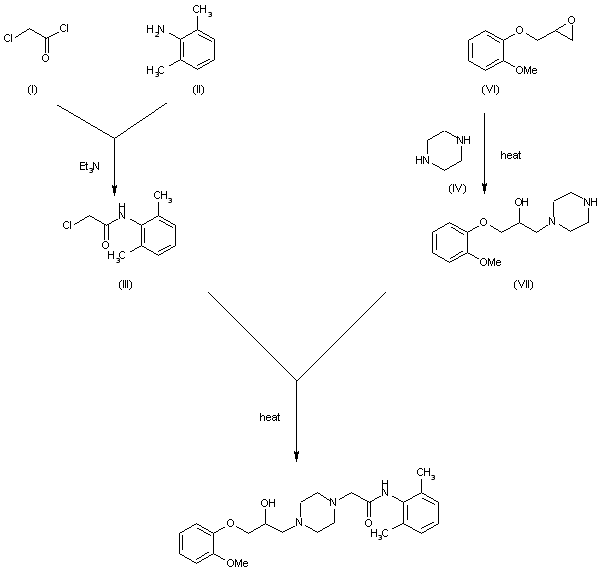
2) The condensation of epoxide (VI) with piperazine (IV) in refluxing isopropanol gives 1-[3-(2-methoxyphenoxy)-2-hydroxypropyl]piperazine (VII), which is then condensed with chloroacetamide (III) in refluxing ethanol.

合成路线图解说明:

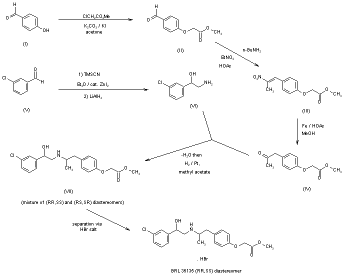
BRL 35135 may be obtained by the following synthetic procedures: Alkylation of 4-hydroxybenzaldehyde (I) with methyl chloroacetate in boiling acetone in the presence of potassium carbonate and a catalytic quantity of potassium iodide gives methyl 4-formylphenoxyacetate (II), which is condensed with nitroethane in glacial acetic acid in the presence of n-butylamine to give the nitrostyrene (III). Reduction of nitrostyrene (III) with steel wool and glacial acetic acid/methanol leads to methyl 4-(2-oxopropyl)phenoxyacetate (IV). Condensation of (IV) with alpha-(aminomethyl-3-chlorobenzenemethanol (VI) and hydrogenation of the resultant imine with platinum in methyl acetate leads to a mixture of diastereomers (VII). Pure BRL 35135 can be obtained from this mixture of diastereomers by fractional crystallization, and subsequent recrystallization, of the hydrobromide salt from methyl acetate-methanol. The ethanolamine (VI) is prepared by addition of trimethylsilyl cyanide to 3-chlorobenzaldehyde (V) in diethyl ether in the presence of a catalytic amount of zinc iodide and subsequent reduction of the trimethylsilylcyanohydrin with lithium aluminum hydride.

参考文献No.148127
标题:BRL 35135
作者:Cantello, B.C.C.; Smith, S.A.
来源:Drugs Fut 1991,16(9),797
合成路线图解说明:

BRL 35135 may be obtained by the following synthetic procedures: Alkylation of 4-hydroxybenzaldehyde (I) with methyl chloroacetate in boiling acetone in the presence of potassium carbonate and a catalytic quantity of potassium iodide gives methyl 4-formylphenoxyacetate (II), which is condensed with nitroethane in glacial acetic acid in the presence of n-butylamine to give the nitrostyrene (III). Reduction of nitrostyrene (III) with steel wool and glacial acetic acid/methanol leads to methyl 4-(2-oxopropyl)phenoxyacetate (IV). Condensation of (IV) with alpha-(aminomethyl-3-chlorobenzenemethanol (VI) and hydrogenation of the resultant imine with platinum in methyl acetate leads to a mixture of diastereomers (VII). Pure BRL 35135 can be obtained from this mixture of diastereomers by fractional crystallization, and subsequent recrystallization, of the hydrobromide salt from methyl acetate-methanol. The ethanolamine (VI) is prepared by addition of trimethylsilyl cyanide to 3-chlorobenzaldehyde (V) in diethyl ether in the presence of a catalytic amount of zinc iodide and subsequent reduction of the trimethylsilylcyanohydrin with lithium aluminum hydride.

Drug Information Express,Drug R&D,Chemical Database,Patent Search.
Copyright © 2006-2026 Drug Future. All rights reserved.Contact Us