【药物名称】Rocuronium bromide, Org-9426, Esmeron, Zemuron
化学结构式(Chemical Structure):
参考文献No.9203
标题:Novel 2beta-morpholino-androstane derivs. and process for their preparation
作者:Savage, D.S.; Sleig, T.; Carlyle, I.G. (Akzo Nobel N.V.)
来源:AU 8814570; EP 0287150; JP 1988277693; US 4894369
合成路线图解说明:

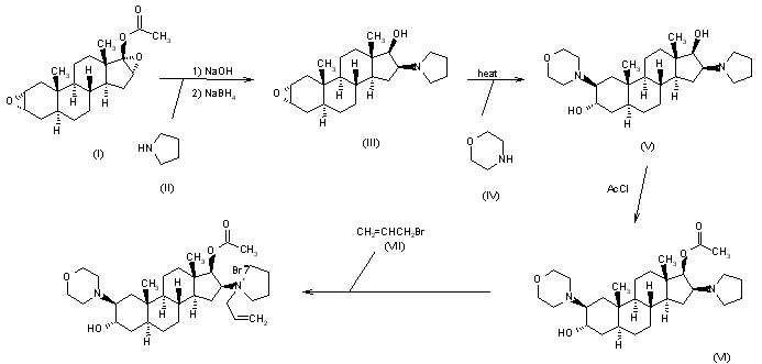
The condensation of (2alpha,3alpha,5alpha,16alpha,17alpha)-2,3:16,17-diepoxyandrostan-17-ol acetate (I) with pyrrolidine (II) by means of NaOH in methanol, followed by reduction with NaBH4 in the same solvent gives (2alpha,3alpha,5alpha,16beta,17beta)-2,3-epoxy-16-(1-pyrrolidinyl) androstan-17-ol (III), which is further condensed with morpholine (IV) in refluxing water yielding (2beta,3alpha,5alpha,16beta,17beta)-2-(4-morpholinyl)-16-(1-pyrrolidinyl)androstane-3,17-diol (V). Partial acetylation of (V) with acetyl chloride in dichloromethane at room temperature affords the corresponding 17-acetoxy derivative (VI), which is finally quaternized with allyl bromide (VII) in dichloromethane.

参考文献No.264193
标题:Rocuronium Bromide
作者:Pento, J.T.; Casta馿r, J.
来源:Drugs Fut 1994,19(9),841
合成路线图解说明:

The condensation of (2alpha,3alpha,5alpha,16alpha,17alpha)-2,3:16,17-diepoxyandrostan-17-ol acetate (I) with pyrrolidine (II) by means of NaOH in methanol, followed by reduction with NaBH4 in the same solvent gives (2alpha,3alpha,5alpha,16beta,17beta)-2,3-epoxy-16-(1-pyrrolidinyl) androstan-17-ol (III), which is further condensed with morpholine (IV) in refluxing water yielding (2beta,3alpha,5alpha,16beta,17beta)-2-(4-morpholinyl)-16-(1-pyrrolidinyl)androstane-3,17-diol (V). Partial acetylation of (V) with acetyl chloride in dichloromethane at room temperature affords the corresponding 17-acetoxy derivative (VI), which is finally quaternized with allyl bromide (VII) in dichloromethane.

Drug Information Express,Drug R&D,Chemical Database,Patent Search.
Copyright © 2006-2026 Drug Future. All rights reserved.Contact Us