【药物名称】FK-228, NSC-630176, FR-901228
化学结构式(Chemical Structure):
参考文献No.555753
标题:FR901228
作者:Wang, H.-C. R.
来源:Drugs Fut 1999,24(11),1184
合成路线图解说明:

(i) The formation of a 16-membered depsipeptide: For the first step, L-valine methyl ester (I) was coupled to N-Fmoc-L-threonine using the BOP reagent [(benzotriazol-1-yloxy)tris(dimethylamino)phosphonium hexafluorophosphate], removing the N-Fmoc group with Et2NH and coupling to N-Fmoc-(S-triphenylmethyl)-D-cysteine to yield the tripeptide (II). The tetrapeptide (III) was prepared by deprotection of the tripeptide (II) and BOP-mediated peptide coupling of the resulting amine with N-Fmoc-D-valine. The secondary hydroxyl group was activated as the tosylate and eliminated by treatment with DABCO to produce the internal alkene. After removal of the Fmoc protecting group by addition of Et2NH to the reaction mixture, the 16-membered depsipeptide (IV) was formed.

合成路线图解说明:

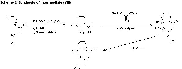
(ii) The asymmetric construction of the hydroxymercaptoheptenoic acid: For construction of the hydroxymercaptoheptenoic acid (VIII), cesium triphenylmethylthiolate anion was added to methyl 2,4-pentadienoate (V), which resulted in a beta,gamma-unsaturated methyl ester that was converted to an alpha,beta-unsaturated ester after exposure to Cs2CO3. DIBAL reduction to the primary alcohol followed by Swern oxidation yielded the alpha,beta-unsaturated aldehyde (VI). In the presence of the ligand derived from (R)-(-)-binaphthyl amino alcohol, Ti(IV)-catalyzed addition of O-benzyl, O-TMS ketene acetal to the alpha,beta-unsaturated aldehyde (VI) resulted in the aldol product (VII). Hydrolysis of the benzyl ester with LiOH in aqueous methanol formed the beta-hydroxymercaptoheptenoic acid (VIII).

合成路线图解说明:

(iii) An intramolecular oxidative coupling of the thiols to form a 15-membered disulfide-containing ring: To complete the synthesis of FR901228, the beta-hydroxymercaptoheptenoic acid (VIII) was coupled to the 16-membered cyclic depsipeptide (IV) using the BOP reagent, followed by LiOH-mediated hydrolysis, resulting in the free acid product (IX). Cyclization of the hydroxy acid (IX) with TsOH, DEAD and PPh3 and oxidation of the bis(S-triphenylmethyl)lactone (X) with iodine in methanol solution yielded the depsipeptide FR901228.

参考文献No.555855
标题:Total synthesis of the antitumor depsipeptide FR901228
作者:Li, K.W.; Simon, J.A.; Xing, W.; Wu, J.
来源:J Am Chem Soc 1996,118(30),7237
合成路线图解说明:

(i) The formation of a 16-membered depsipeptide: For the first step, L-valine methyl ester (I) was coupled to N-Fmoc-L-threonine using the BOP reagent [(benzotriazol-1-yloxy)tris(dimethylamino)phosphonium hexafluorophosphate], removing the N-Fmoc group with Et2NH and coupling to N-Fmoc-(S-triphenylmethyl)-D-cysteine to yield the tripeptide (II). The tetrapeptide (III) was prepared by deprotection of the tripeptide (II) and BOP-mediated peptide coupling of the resulting amine with N-Fmoc-D-valine. The secondary hydroxyl group was activated as the tosylate and eliminated by treatment with DABCO to produce the internal alkene. After removal of the Fmoc protecting group by addition of Et2NH to the reaction mixture, the 16-membered depsipeptide (IV) was formed.

合成路线图解说明:

(ii) The asymmetric construction of the hydroxymercaptoheptenoic acid: For construction of the hydroxymercaptoheptenoic acid (VIII), cesium triphenylmethylthiolate anion was added to methyl 2,4-pentadienoate (V), which resulted in a beta,gamma-unsaturated methyl ester that was converted to an alpha,beta-unsaturated ester after exposure to Cs2CO3. DIBAL reduction to the primary alcohol followed by Swern oxidation yielded the alpha,beta-unsaturated aldehyde (VI). In the presence of the ligand derived from (R)-(-)-binaphthyl amino alcohol, Ti(IV)-catalyzed addition of O-benzyl, O-TMS ketene acetal to the alpha,beta-unsaturated aldehyde (VI) resulted in the aldol product (VII). Hydrolysis of the benzyl ester with LiOH in aqueous methanol formed the beta-hydroxymercaptoheptenoic acid (VIII).

合成路线图解说明:

(iii) An intramolecular oxidative coupling of the thiols to form a 15-membered disulfide-containing ring: To complete the synthesis of FR901228, the beta-hydroxymercaptoheptenoic acid (VIII) was coupled to the 16-membered cyclic depsipeptide (IV) using the BOP reagent, followed by LiOH-mediated hydrolysis, resulting in the free acid product (IX). Cyclization of the hydroxy acid (IX) with TsOH, DEAD and PPh3 and oxidation of the bis(S-triphenylmethyl)lactone (X) with iodine in methanol solution yielded the depsipeptide FR901228.

Drug Information Express,Drug R&D,Chemical Database,Patent Search.
Copyright © 2006-2026 Drug Future. All rights reserved.Contact Us