【药物名称】Morniflumate, UP-164, Niflam, Morniflu
化学结构式(Chemical Structure):
参考文献No.11838
标题:Processes for the preparation of morniflumate and analogous cpds.
作者:Chiesi, P.; Servadio, V.; Pighi, R. (Chiesi Farmaceutici SpA)
来源:EP 0349902
合成路线图解说明:

In a different procedure, 2-chloronicotinic acid (III) was chlorinated to (IV) by means of boiling thionyl chloride. Condensation of acid chloride (IV) with 2-morpholinoethanol (V) gave rise to the morpholinoethyl chloronicotinate (VI). Finally, displacement of the 2-chloro with m-(trifluoromethyl)aniline (VII) in the presence of zinc oxide and iodine furnished the title compound.

合成路线图解说明:

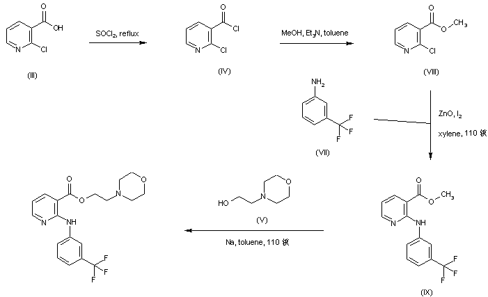
Alternatively, acid chloride (IV), prepared from 2-chloronicotinic acid (III), was treated with methanol and triethylamine to afford the methyl ester (VIII). Displacement of the 2-chloro with m-(trifluoromethyl)aniline (VII) yielded methyl niflumate (IX). Finally, transesterification of methyl ester (IX) with 2-morpholinoethanol (V) in the presence of sodium metal gave rise to the title compound.

参考文献No.58296
标题:2-Anilino-nicotinic acid esters
作者:Hoffmann, C. (Hexachimie SA)
来源:US 3708481
合成路线图解说明:

The title morpholinoethyl ester was prepared by reaction of niflumic acid (I) with N-(2-chloroethyl)morpholine (II) in refluxing isopropanol.

Drug Information Express,Drug R&D,Chemical Database,Patent Search.
Copyright © 2006-2026 Drug Future. All rights reserved.Contact Us