【药物名称】Dexanabinone, Dexanabinol, PRS-211007, HU-211
化学结构式(Chemical Structure):
参考文献No.481590
标题:Synthesis of deuterated dexanabinol, a nonpsychotropic cannabinoid with neuroprotective properties
作者:Pop, E.; et al.
来源:J Label Compd Radiopharm 1998,41(10),885
合成路线图解说明:

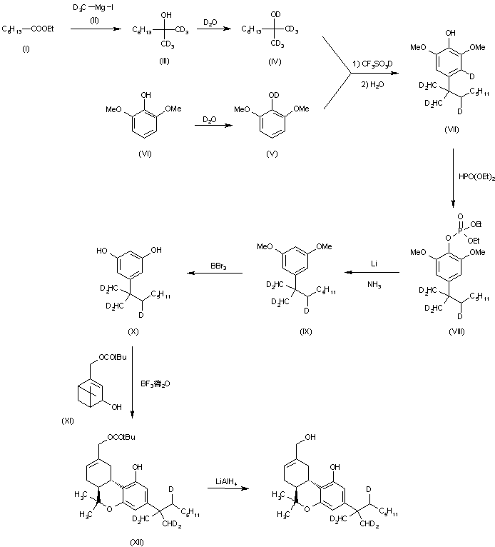
The Grignard reaction of ethyl heptanoate (I) with deuterated methylmagnesium iodide (II) in ether gives deuterated 2-methyl-2-octanol (III), which is treated with deuterium oxide to yield heptadeuterated 2-methyl-2-octanol (IV). The condensation of (IV) with monodeuterated 2,6-dimethoxyphenol (V) (obtained by treatment of 2,6-dimethoxyphenol (VI) with deuterium oxide) by means of deuterated trifluoromethylsulfonic acid affords the alkylated phenol (VII), which is phosphorylated with diethyl phosphite and triethylamine giving the phosphate (VIII). The reduction of (VIII) with Li/NH3 yields the deuterated dimethoxybenzene (IX), which is demethylated with boron tribromide in dichloromethane to afford the deuterated resorcinol (X). The condensation of (X) with alpha-pinene-3,10-diol 10-O-pivalic ester (XI) by means of boron trifluoride etherate in methylene chloride gives the deuterated target compound as its monopivalic ester (XII), which is finally treated with LiAlH4 in THF to eliminate the ester group.

Drug Information Express,Drug R&D,Chemical Database,Patent Search.
Copyright © 2006-2026 Drug Future. All rights reserved.Contact Us