【药物名称】Testosterone buciclate, CDB-1781, 20 Aet-1
化学结构式(Chemical Structure):
参考文献No.56355
标题:Long-acting androgenic cpds. and pharmaceutical compsns. thereof
作者:Kim, H.K.; Blye, R.P.; Bialy, G.; Archer, S.; Fried, J.; Crabbe, P.; Djerassi, C.; Diczfalusy, E.R.
来源:US 4948790
合成路线图解说明:

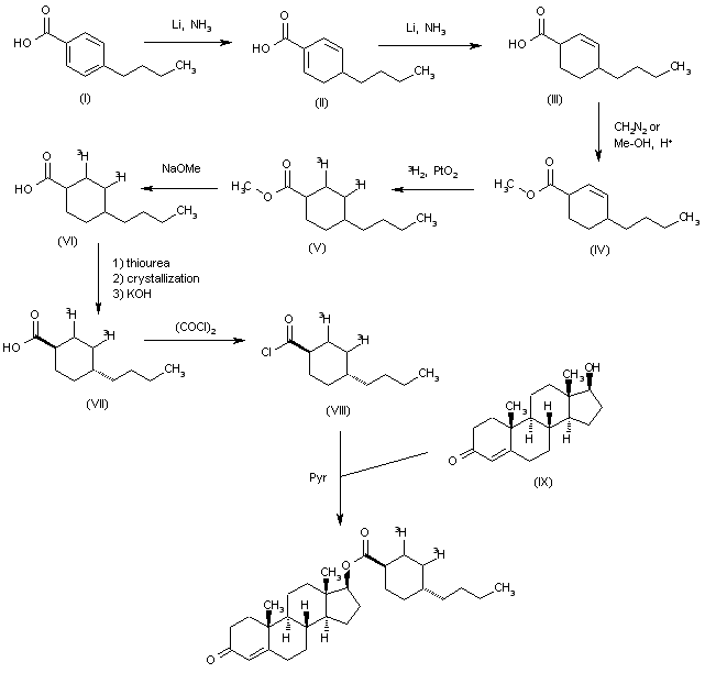
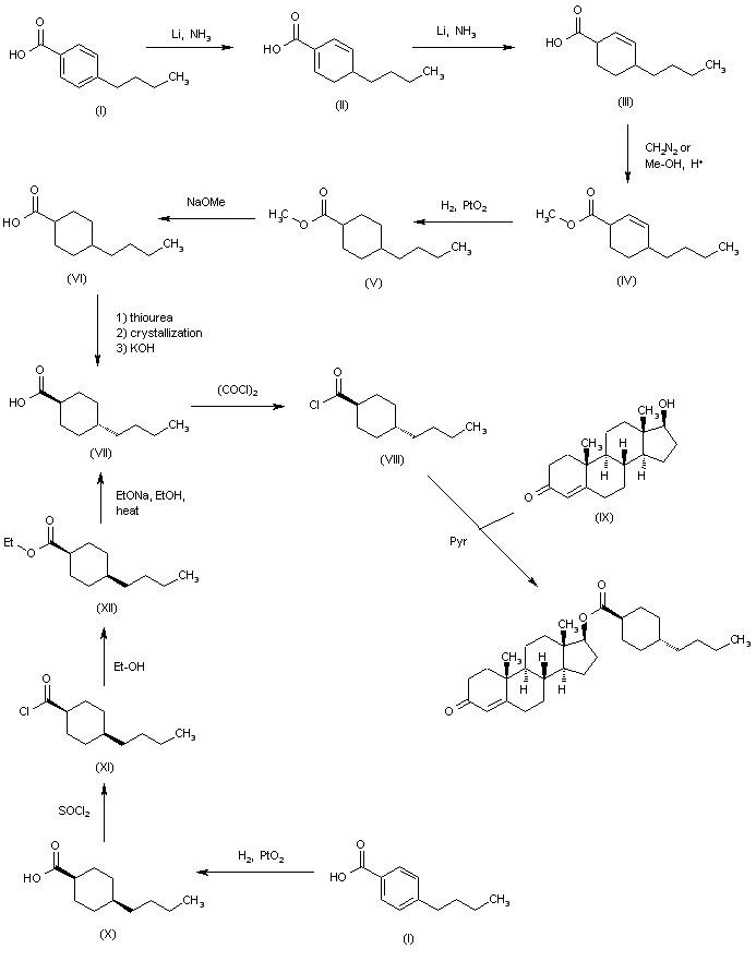
The Birch reduction of 4-butylbenzoic acid (I) with Li in dry ammonia gives 4-butyl-3,4-dihydrobenzoic acid (II), which is submitted to a new Birch reduction to yield 4-butyl-2-cyclohexenecarboxylic acid (III). The methylation of (III) with methanol in acidic medium or with diazomethane, affords the corresponding methyl ester (IV), which is reduced with H2 over PtO2 in ethyl acetate to provide 4-butylcyclohexanecarboxylic acid methyl ester (V). This compound is hydrolyzed with NaOMe in methanol to give the expected carboxylic acid (VI) as a cis/trans mixture. This mixture is dissolved in a minimum amount of methanol, then thiourea and methanol are added and heated until a homogeneous mixture is obtained. The solution is allowed to cool and finally cools at -20 C; the resulting crystalline inclusion complex is filtered and decomposed with aq. KOH to yield trans-4-butylcyclohexanecarboxylic acid (VII). This compound is treated with SOCl2 in benzene to give the corresponding acyl chloride (VIII), which is finally condensed with testosterone (IX) by means of pyridine in benzene to provide the target testosterone ester. Alternatively, the intermediate trans-4-butylcyclohexanecarboxylic acid (VII) can also be obtained as follows: The reduction of 4-butylbenzoic acid (I) with H2 over PtO2 in acetic acid gives 4-butylcyclohexanecarboxylic acid (X) predominantly as the cis-isomer, which is treated with SOCl2 in dichloromethane to yield the acyl chloride (XI). The reaction of (XI) with anhydrous ethanol affords the ethyl ester (XII), which is submitted to a cis/trans isomerization with sodium ethoxide in refluxing ethanol to provide the target intermediate (VII).

参考文献No.56356
标题:Cycloalkyl-carboxylic acid esters of 7alpha methyl-estr-4-en-3-one 17beta-ol (19-nor 7alpha-methyltestosterone)
作者:Leysen, D.; Van der Louw, J.; Van der Voort, H.A.A. (Akzo Nobel N.V.)
来源:WO 9967270
合成路线图解说明:

The Birch reduction of 4-butylbenzoic acid (I) with Li in dry ammonia gives 4-butyl-3,4-dihydrobenzoic acid (II), which is submitted to a new Birch reduction to yield 4-butyl-2-cyclohexenecarboxylic acid (III). The methylation of (III) with methanol in acidic medium or with diazomethane, affords the corresponding methyl ester (IV), which is reduced with H2 over PtO2 in ethyl acetate to provide 4-butylcyclohexanecarboxylic acid methyl ester (V). This compound is hydrolyzed with NaOMe in methanol to give the expected carboxylic acid (VI) as a cis/trans mixture. This mixture is dissolved in a minimum amount of methanol, then thiourea and methanol are added and heated until a homogeneous mixture is obtained. The solution is allowed to cool and finally cools at -20 C; the resulting crystalline inclusion complex is filtered and decomposed with aq. KOH to yield trans-4-butylcyclohexanecarboxylic acid (VII). This compound is treated with SOCl2 in benzene to give the corresponding acyl chloride (VIII), which is finally condensed with testosterone (IX) by means of pyridine in benzene to provide the target testosterone ester. Alternatively, the intermediate trans-4-butylcyclohexanecarboxylic acid (VII) can also be obtained as follows: The reduction of 4-butylbenzoic acid (I) with H2 over PtO2 in acetic acid gives 4-butylcyclohexanecarboxylic acid (X) predominantly as the cis-isomer, which is treated with SOCl2 in dichloromethane to yield the acyl chloride (XI). The reaction of (XI) with anhydrous ethanol affords the ethyl ester (XII), which is submitted to a cis/trans isomerization with sodium ethoxide in refluxing ethanol to provide the target intermediate (VII).

参考文献No.686836
标题:Tritium labeled trans-4-N-butyl-2,3-3H-cyclohexanecarboxylic acid. Preparation of testosterone 17beta-trans-4-N-butyl-2,3-3H-cyclohexanecarboxylate and [4-14C]-testosterone 17beta-trans-4-N-butylcyclohexane carboxylate
作者:Acosta, C.K.; et al.
来源:J Label Compd Radiopharm 1990,28(10),1201
合成路线图解说明:

The Birch reduction of 4-butylbenzoic acid (I) with Li in dry ammonia gives 4-butyl-3,4-dihydrobenzoic acid (II), which is submitted to a new Birch reduction to yield 4-butyl-2-cyclohexenecarboxylic acid (III). The methylation of (III) with methanol in acidic medium or with diazomethane, affords the corresponding methyl ester (IV), which is reduced with H2 over PtO2 in ethyl acetate to provide 4-butylcyclohexanecarboxylic acid methyl ester (V). This compound is hydrolyzed with NaOMe in methanol to give the expected carboxylic acid (VI) as a cis/trans mixture. This mixture is dissolved in a minimum amount of methanol, then thiourea and methanol are added and heated until a homogeneous mixture is obtained. The solution is allowed to cool and finally cools at -20 C; the resulting crystalline inclusion complex is filtered and decomposed with aq. KOH to yield trans-4-butylcyclohexanecarboxylic acid (VII). This compound is treated with SOCl2 in benzene to give the corresponding acyl chloride (VIII), which is finally condensed with testosterone (IX) by means of pyridine in benzene to provide the target testosterone ester. Alternatively, the intermediate trans-4-butylcyclohexanecarboxylic acid (VII) can also be obtained as follows: The reduction of 4-butylbenzoic acid (I) with H2 over PtO2 in acetic acid gives 4-butylcyclohexanecarboxylic acid (X) predominantly as the cis-isomer, which is treated with SOCl2 in dichloromethane to yield the acyl chloride (XI). The reaction of (XI) with anhydrous ethanol affords the ethyl ester (XII), which is submitted to a cis/trans isomerization with sodium ethoxide in refluxing ethanol to provide the target intermediate (VII).

合成路线图解说明:

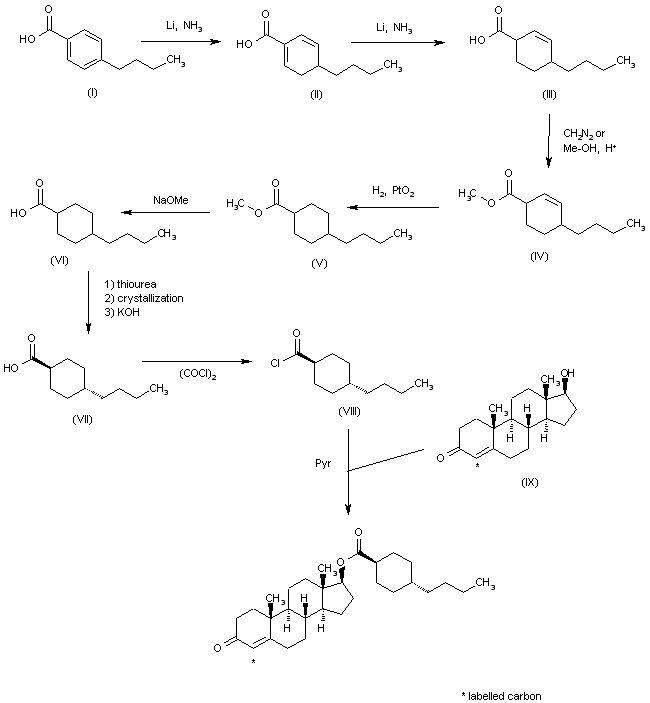
The Birch reduction of 4-butylbenzoic acid (I) with Li in dry ammonia gives 4-butyl-3,4-dihydrobenzoic acid (II), which is submitted to a new Birch reduction to yield 4-butyl-2-cyclohexenecarboxylic acid (III). The methylation of (III) with methanol in acidic medium or with diazomethane, affords the corresponding methyl ester (IV), which is reduced with 3H2 over PtO2 in ethyl acetate to provide tritium-labeled 4-butylcyclohexanecarboxylic acid methyl ester (V). This compound is hydrolyzed with NaOMe in methanol to give the expected carboxylic acid (VI) as a cis/trans mixture. This mixture is dissolved in a minimum amount of methanol, then thiourea and methanol are added and heated until a homogeneous mixture is obtained. The solution is allowed to cool and finally cools at -20 C; the resulting crystalline inclusion complex is filtered and decomposed with aq. KOH to yield tritium-labeled trans-4-butylcyclohexanecarboxylic acid (VII) (1). This compound is treated with SOCl2 in benzene to give the corresponding acyl chloride (VIII), which is finally condensed with testosterone (IX) by means of pyridine in benzene to provide the target labeled testosterone ester.

合成路线图解说明:

The Birch reduction of 4-butylbenzoic acid (I) with Li in dry ammonia gives 4-butyl-3,4-dihydrobenzoic acid (II), which is submitted to a new Birch reduction to yield 4-butyl-2-cyclohexenecarboxylic acid (III). The methylation of (III) with methanol in acidic medium or with diazomethane, affords the corresponding methyl ester (IV), which is reduced with H2 over PtO2 in ethyl acetate to provide 4-butylcyclohexanecarboxylic acid methyl ester (V). This compound is hydrolyzed with NaOMe in methanol to give the expected carboxylic acid (VI) as a cis/trans mixture. This mixture is dissolved in a minimum amount of methanol, then thiourea and methanol are added and heated until a homogeneous mixture is obtained. The solution is allowed to cool and finally cools at -20 C; the resulting crystalline inclusion complex is filtered and decomposed with aq. KOH to yield trans-4-butylcyclohexanecarboxylic acid (VII) (1). This compound is treated with SOCl2 in benzene to give the corresponding acyl chloride (VIII), which is finally condensed with 14C-labeled testosterone (IX) by means of pyridine in benzene to provide the target labeled testosterone ester.

Drug Information Express,Drug R&D,Chemical Database,Patent Search.
Copyright © 2006-2026 Drug Future. All rights reserved.Contact Us