【药物名称】
化学结构式(Chemical Structure):
参考文献No.539885
标题:Synthesis and muscarinic receptor pharmacology of a series of 4,5,6,7-tetrahydroisothiazolo[4,5-c]pyridine bioisosteres of arecoline
作者:Pedersen, H.; Brauner-Osborne, H.; Ball, R.G.; Frydenvang, K.; Meier, E.; Bogeso, K.P.; Krogsgaard-Larsen, P.
来源:Bioorg Med Chem 1999,7(5),795
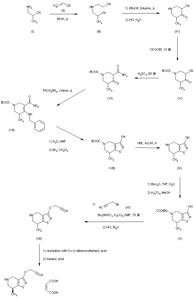
合成路线图解说明:

Michael addition of acrylonitrile (II) to 2-methyl-3-aminopropionitrile (I) gave dinitrile (III), which was cyclized to piperidone (IV) under Thorpe-Ziegler conditions. After protection of (IV) as the carbamate (V), hydrolysis of the nitrile with 85% H2SO4 provided ketoamide (VI). This was converted to enamine (VII) by condensation with benzylamine in refluxing xylene. Subsequent treatment of (VII) with H2S in DMF, followed by bromine in AcOH furnished isothiazole (VIII). The ethoxycarbonyl group of (VIII) was then replaced for a tert-butoxycarbonyl group by hydrolysis with HBr in AcOH to (IX), and then reaction with Boc2O to give a N,O-di-Boc intermediate, which was further treated with K2CO3 in MeOH to afford (X). After alkylation of the hydroxyl group of (X) with propargyl bromide (XI), the tert-butyl carbamate was removed with ethereal HCl to yield the racemic isothiazolopyridine (XII). Finally, the (S)-(+)-enantiomer of (XII) was resolved by crystallization as the diastereomeric salt with D-(+)-dibenzoyltartaric acid and, after liberation of the base with NaOH, was isolated as the fumarate salt.

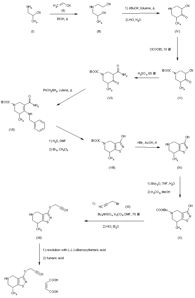
合成路线图解说明:

Michael addition of acrylonitrile (II) to 2-methyl-3-aminopropionitrile (I) gave dinitrile (III), which was cyclized to piperidone (IV) under Thorpe-Ziegler conditions. After protection of (IV) as the carbamate (V), hydrolysis of the nitrile with 85% H2SO4 provided ketoamide (VI). This was converted to enamine (VII) by condensation with benzylamine in refluxing xylene. Subsequent treatment of (VII) with H2S in DMF, followed by bromine in AcOH furnished isothiazole (VIII). The ethoxycarbonyl group of (VIII) was then replaced for a tert-butoxycarbonyl group by hydrolysis with HBr in AcOH to (IX), and then reaction with Boc2O to give a N,O-di-Boc intermediate, which was further treated with K2CO3 in MeOH to afford (X). After alkylation of the hydroxyl group of (X) with propargyl bromide (XI), the tert-butyl carbamate was removed with ethereal HCl to yield the racemic isothiazolopyridine (XII). Finally, the (R)-(-)-enantiomer of (XII) was resolved by crystallization as the diastereomeric salt with L-(-)-dibenzoyltartaric acid and, after liberation of the base with NaOH, was isolated as the fumarate salt .

Drug Information Express,Drug R&D,Chemical Database,Patent Search.
Copyright © 2006-2026 Drug Future. All rights reserved.Contact Us