【药物名称】Caracasandiamide
化学结构式(Chemical Structure):
参考文献No.546072
标题:Novel hypotensive agents from Verbesina caracasana. 6. Synthesis and pharmacology of caracasandiamide
作者:Carmignani, M.; Volpe, A.R.; Delle Monache, F.; Botta, B.; Espinal, R.; De Bonnevaux, S.C.; De Luca, C.; Botta, M.; Corelli, F.; Tafi, A.; Ripanti, G.; Monache, G.D.
来源:J Med Chem 1999,42(16),3116
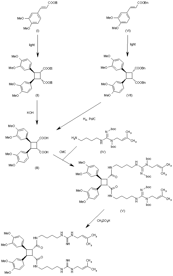
合成路线图解说明:

This compound can be obtained by two related ways: 1) The solid-state photodimerization of ethyl 3,4-dimethoxycinnamate (I) gives the corresponding dimeric cyclobutane (II), which is hydrolyzed with KOH in methanol yielding the corresponding diacid (III). The reaction of (III) with 4-[N2,N3-bis(tert-butoxycarbonyl)-N3-(3-methyl-2-butenyl)guanidino]butylamine (IV) by means of CMC and Ts-OMe affords the protected diamide (V), which is finally deprotected with methanesulfonic acid. 2) The solid-state photodimerization of benzyl 3,4-dimethoxycinnamate (VI) gives the corresponding dimeric cyclobutane (VII), which is debenzylated by hydrogenation with H2 over Pd/C yielding the previously described diacid (III).

Drug Information Express,Drug R&D,Chemical Database,Patent Search.
Copyright © 2006-2026 Drug Future. All rights reserved.Contact Us